尽管高考志愿难填,但还是有规律可循。专家建议,拿到“一分一档表”后,考生首先要从 我省2018年普通高考相关政策、成绩查询、录取结果查询以及各项咨询活动安排均通过

2016年河北省美术联考一分一档表(word校对版
141x200 - 9KB - PNG

河北省2015年美术联考美术一分一档表(转载)_
572x323 - 52KB - JPEG

河北教育考试院公布2014高考美术类一分一档
324x678 - 75KB - JPEG

河北高考2018一分一档表
569x890 - 91KB - PNG

2018年一分一档表河北
300x225 - 14KB - JPEG

2018年一分一档表河北
300x225 - 13KB - JPEG

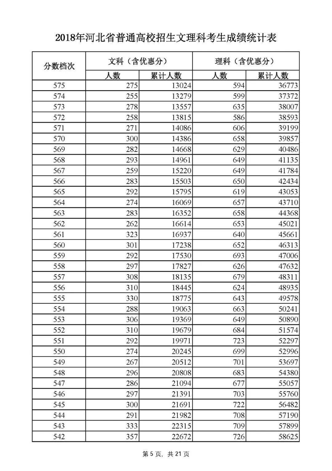
2018年河北高考一分一档表
569x890 - 80KB - PNG

2018年河北高考一分一档表
600x360 - 94KB - JPEG

2018河北高考文理科一分一档表
434x620 - 47KB - JPEG

2018年河北省单招各考试类一分一档表公开啦
900x500 - 133KB - JPEG

河北考生,2018河北高考一分一档表出炉!快收藏
550x778 - 155KB - JPEG

沙河高考学子快来看:2018河北高考一分一档表
1080x1528 - 197KB - JPEG

从河北2018年高考一分一档表公布提炼聊天素
300x424 - 33KB - JPEG

2018年河北高考艺术类美术一分一档表
530x750 - 60KB - JPEG

2018年河北高考艺术类舞蹈一分一档表
530x750 - 60KB - JPEG