算法设计与分析视频教程全30讲中科院视频教程 课件大小:2.25 GB 教程来源:网友上传 更新时间:2010-08-04 18:08:20 课件类别:考研考博 /考博课程 课件语言:中文 教程格式:多

算法设计技巧与分析_360百科
250x357 - 15KB - JPEG

算法设计与分析习题解答
270x343 - 16KB - JPEG

计算机算法:设计与分析导论
260x331 - 21KB - JPEG

计算机算法-设计与分析导论
268x268 - 14KB - JPEG

可扩展并行算法的设计与分析
239x300 - 8KB - JPEG

计算机科学与技术系列教材·算法设计与分析
268x268 - 14KB - JPEG

远光抗炫目普及?解析威朗GS矩阵LED大灯
550x349 - 26KB - JPEG

剖析:指纹识别将引领居民身份证应用新浪潮
442x354 - 22KB - JPEG

刺破混沌的晨曦劳斯莱斯曜影官图解析
608x456 - 102KB - JPEG

基于生态论的系统法学﹕法律精细化研究-zhgu
571x384 - 99KB - JPEG

数据结构(C++版)_360百科
154x220 - 5KB - JPEG

计算机常用算法与程序设计案例教程_360百科
200x200 - 9KB - JPEG

防呕吐 Facebook为360度视频研发去抖动算法
550x218 - 35KB - JPEG

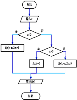
设计算法流程图,要求输入自变量x的值,输出函数
251x325 - 20KB - PNG

设计一个算法从顺序表中删除具有给定值x的所
484x328 - 18KB - PNG