在程序中,一个变量实质上是代表了 内存中的某个存储单元 。那么C程序是怎样存取这个存储单元的内容的呢? 应该知道,计算机的内存是以字节为单位的一片连续的存储空间,每

C语言郝斌视频学习1 变量为什么要初始化和一
677x442 - 25KB - JPEG

C语言试卷编号19.doc
794x1123 - 17KB - PNG

6.2 变量的存储方式-变量三代表 - 51CTO.COM
475x237 - 16KB - JPEG

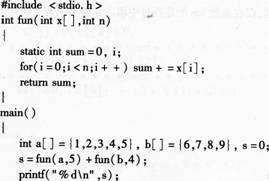
C语言中的相关变量知识
686x506 - 34KB - JPEG

在c语言中,只有在使用时才占用内存单元的变量
208x205 - 5KB - JPEG

值类型及引用类型变量存储.doc
993x1404 - 106KB - PNG

更新至2.4.4节,字节序大小端,底层工作者手册之
688x274 - 23KB - JPEG

高中信息技术 数组与函数课件.ppt
1152x864 - 98KB - PNG

第二章C语言的基本数据类型和变量的存储类.p
141x200 - 2KB - JPEG

第二章 变量 数据类型 和运算符.ppt
1152x864 - 153KB - PNG

Java进阶10 内存管理与垃圾回收 存储管理服务
337x310 - 12KB - JPEG

C#托管和非托管的资源(二)--后台内存管理_操
759x441 - 22KB - PNG

在c语言中,只有在使用时才占用内存单元的变量
269x181 - 7KB - JPEG

定义一个共用体变量时,系统分配给他的内存单
480x179 - 9KB - JPEG

00C语言程序设计李学刚电子课件02单元1程序
1143x870 - 49KB - PNG