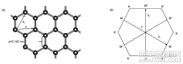
Homework1 10/31/2016 1. 计算做图画出石墨烯蜂窝格子的倒格子和第一布里渊区,用matlab画出石墨烯的能带关系图 the heavier the nucleus, the stronger硅烯 silicene is the sp

123石墨烯结构的倒格子
502x455 - 127KB - PNG

123石墨烯结构的倒格子_word文档在线阅读与
490x342 - 64KB - PNG

石墨烯在电化学储能过程中的理论应用_储能技
640x226 - 31KB - JPEG

【2017年整理】石墨烯电子的能带和狄拉克方
141x200 - 13KB - PNG

【新能源应用】石墨烯的狄拉克点电子学性质
290x142 - 4KB - JPEG

解读石墨烯在电化学储能过程中的应用 - 应用技
1152x406 - 52KB - JPEG

用matlab画出石墨烯的能带关系图Homewo.PD
800x565 - 19KB - PNG

【上海石墨烯品牌定制定制户外格子两截速干裤
741x1129 - 325KB - JPEG

【上海石墨烯品牌定制定制户外格子两截速干裤
741x854 - 156KB - JPEG

【上海石墨烯品牌定制定制户外格子两截速干裤
741x471 - 122KB - JPEG

科学家决定加入石墨烯打造新型高强度橡皮筋_
450x378 - 25KB - JPEG

石墨烯层,顶视图。六角格子
1200x900 - 341KB - JPEG

石墨烯理论
480x360 - 38KB - JPEG

石墨烯理论(上)
545x278 - 17KB - JPEG

学术干货 | 石墨烯干货系列之石墨烯在电化学储
600x211 - 12KB - JPEG