利用单纯形法求解下列线形规划问题 Maxz=2x1+3x2-5x3 s.t﹛x1+x2+x3=7,2x1-5x2+x3≥10,x1,x2,x3≥0} 下载作业帮 扫二维码下载作业帮 3亿+用户的选择 下载作业帮安装包 扫

用有界变量对偶单纯形法求解下列线性规划问题
547x227 - 86KB - PNG

用单纯形法求解maxZ=2x1+3x2+5x32x1+x2+x3
620x348 - 18KB - JPEG

用单纯形法求解maxZ=2x1+3x2+5x32x1+x2+x3
1080x810 - 143KB - JPEG

单纯形法求解线性规划问题(C++实现代码) - c+
550x364 - 54KB - PNG

参照图5-1,用C语言编写单纯形表法的计算程序
351x549 - 72KB - JPEG

第二章线性规划及单纯形法解析.ppt
1152x864 - 130KB - PNG

修正单纯形法求解约束优化问题.doc
993x1404 - 36KB - PNG

单纯形法求解线性规划有关问题(C++实现代码
550x364 - 50KB - PNG

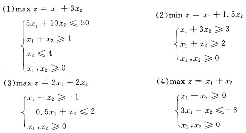
用图解法求解下列线性规划问题,并指出问题是
489x264 - 22KB - JPEG

第二章线性规划及单纯形法解说.ppt免费全文阅
1152x864 - 59KB - PNG

运筹学--单纯形法求解- 动态演示.ppt
1152x864 - 55KB - PNG

用单纯形法求解目标规划.ppt
960x720 - 58KB - JPEG

单纯形法步骤_用单纯形法求解线性规划其中可
567x425 - 39KB - JPEG

单纯形法求解一般线性规划和对偶线性规划问题
706x514 - 15KB - PNG

maxz=3x1+4x2+x3 -1+2x2+3x3 =6 -3x1+x2-4x3
400x300 - 17KB - JPEG