
物体的质量是怎么来的?其产生机制是什么?为了回答这样的重大问题,一代又一代的物理学家付出了大量的努力。
质量和重量的区别在日常生活中,我们通常会把质量和重量等价起来。但在物理学上,这是两种概念。物体的重量来来自于重力,在不同表面重力的星球上,同一个物体的重量是不一样的,例如,物体在月球上的重量只有地球上的六分之一。另外,宇航员到了太空中绕着地球做自由落体运动,他们还会处于失重的状态。在国际单位制度中,重量用“牛顿(N)”来表示。

另一方面,质量是物体的基本属性,不会因为物体处在不同的引力场中而发生变化。宇航员在月球上感觉自己变轻了,并不是因为自身的质量降低了,而是因为所受到的引力作用变小了。在国际单位制度中,质量用“千克(kg)”来表示。
质量的定义:惯性质量和引力质量物理学中对于质量的定义超过7种,最常被用到的是惯性质量和引力质量。
惯性质量可以通过牛顿第二运动定律(F=ma)得到,物体的惯性质量决定了它的惯性大小,决定着它的加速度被改变的难易程度。通过测量物体所受到的力和对应的加速度,可以算出物体的惯性质量。

引力质量则是源自于引力,通过测量一个物体在引力场中所受的重力(G)以及对应的重力加速度(g),可以算出物体的引力质量(m=G/g)。
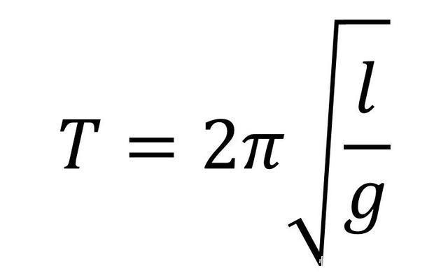
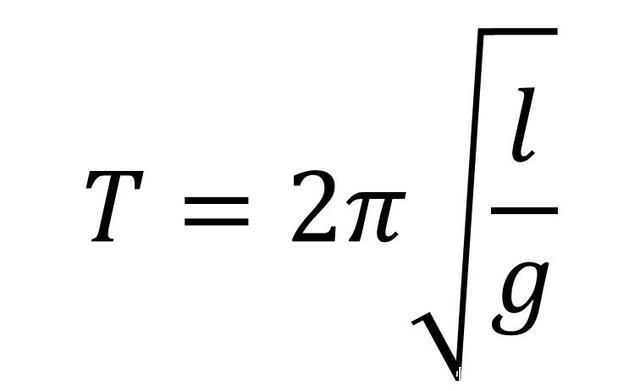
牛顿认为,惯性质量和引力质量并非是相同的东西。然而,我们在推导单摆运动的周期公式时,往往会认为惯性质量和引力质量是相等的,直接把它们消掉,由此得到如下的公式:

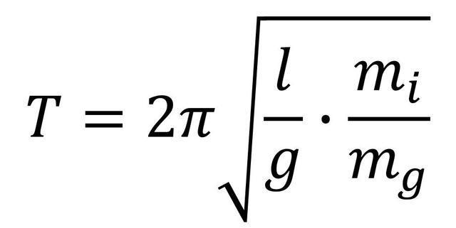
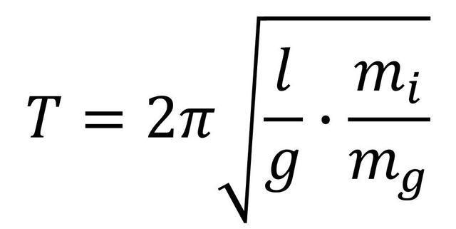
但如果区分惯性质量(mi)和引力质量(mg),结果会得到如下的单摆运动周期公式:

通过实验测量可知,物体的单摆周期与质量没有任何关系,只取决于摆长。从这点来看,惯性质量和引力质量之比是相等的常数,或者说这两种质量是等价的。随着实验精度的提高,这种等价关系被更精确地证实。在物理学上,通过系数调整,可以让惯性质量和引力质量变得相等。

牛顿认为,惯性质量和引力质量相等只是巧合现象。但爱因斯坦提出了不同观点,他认为均匀引力场和均匀加速度是不可区分的,这就是等效原理。基于这样的原理以及广义相对论性原理,爱因斯坦创立了广义相对论,认为引力的本质是几何效应。
量子力学中的质量物体都是由一系列原子组成,原子又是由质子、中子和电子组成,质子和中子还由夸克组成。从目前的认知来看,电子和夸克都是基本粒子,它们都无法再分割下去。

那么,这是否意味着物体的质量都是来自于夸克和电子这两种基本粒子呢?
一个质子的质量约为1.6726×10^-27千克,其中包含了三个夸克——两个上夸克和一个下夸克。一个上夸克的质量约为4.1009×10^-30 千克,一个下夸克的质量约为8.5584×10^-30千克。两个上夸克和一个下夸克的总质量为1.6760×10^-29千克,这大约只有质子质量的1%。也就是说,质子的质量并不直接等于组成它的夸克质量总和。

另一方面,一个中子的质量约为1.6749×10^-27千克,其中也包含了三个夸克——一个上夸克和两个下夸克。根据计算可知,一个上夸克和两个下夸克的总质量为2.1218×10^-29千克,这大约只有中子质量的1.27%。就像质子那样,中子的质量也不直接等于组成它的夸克质量总和。
质子和中子的质量究竟是怎么来的呢?根据粒子物理标准模型,夸克之间通过强核力结合在一起,这需要通过胶子来传递强相互作用。就像光子那样,胶子不存在静止质量,但胶子拥有运动质量。这是因为胶子拥有能量,根据狭义相对论的质能方程(E=mc^2),质量和能量在本质上是等价的。另外,运动的夸克也有相对论性质量,但远小于胶子。
因此,质子和中子的绝大部分质量其实是来自于把夸克束缚在一起的胶子,尽管这种基本粒子不具有静止质量。在质子和中子的质量中,来自于夸克本身非常少,只有大约1%。

虽然夸克的质量很小,但它们还是有质量的,那么,夸克本身的质量又是怎么产生的呢?另外,原子的另一基本组成粒子——电子的质量又是怎么来的?
质量的起源:希格斯机制根据希格斯机制,整个宇宙中遍布着一种特殊的量子场——希格斯场。对于夸克、电子这样的费米子,当它们在希格斯场中运动时,它们产生的费米子场会与希格斯场发生汤川耦合作用,从而使得夸克和电子从希格斯场中获得质量。

而对于胶子、光子这样的规范玻色子,它们不会与希格斯场发生耦合而出现自发对称性破缺,也就不会从希格斯场中获得质量,所以它们的静质量为零。正因为如此,这些基本粒子在希格斯场中的运动速度不会下降,而是保持光速。
希格斯机制的证明如果能够找到希格斯玻色子,也就能证明希格斯机制,因为这种特殊的基本粒子会在希格斯场的量子激发中产生。夸克、电子等基本粒子会与希格斯玻色子发生碰撞,导致速度降到光速以下,并且获得了质量。

直到大型强子对撞机(LHC)投入使用之后,寻找希格斯玻色子才变得有可能。因为只有通过极高的粒子碰撞能量才能制造出希格斯玻色子,而且还需要通过极其灵敏的探测器才能捕捉这种极易衰变的基本粒子。
经过多年的努力,在2013年,物理学家正式宣布在LHC中发现了希格斯玻色子的踪迹,于1964年提出希格斯机制的物理学家彼得·希格斯也在当年荣获诺贝尔物理学奖。