
魔力宝贝手游职业阶数解锁数据大全_魔力宝贝
522x411 - 195KB - JPEG

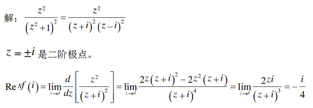
以下的函数都有哪些极点?求出阶数及留数!f(z)
620x214 - 63KB - JPEG

魔力宝贝手游职业阶数提升方法与作用介绍_游
500x339 - 39KB - JPEG

协整检验的方程类型如何判断?滞后阶数怎么选
458x388 - 62KB - JPEG

混世三国武将培养 武将阶数潜力悟性提升_86w
375x255 - 46KB - JPEG

分数阶PI^λD^μ控制器阶数变化对控制性能的
800x1161 - 343KB - PNG

最小二乘法多项式曲线拟合的阶数研究.doc
794x1123 - 59KB - PNG

滤波器阶数 32阶数字滤波器实验报告(4)_牛宝
553x269 - 23KB - JPEG

贪玩蓝月传奇来了官方正版
969x609 - 341KB - JPEG

贪玩蓝月传奇来了官方正版
860x546 - 189KB - JPEG

新天上碑传奇怎么快速提升元神阶数 元神有多
406x274 - 224KB - PNG

阶数步进时域积分方程方法快速分析电磁散射研
800x1262 - 52KB - PNG

在线识别ARMAX模型的阶数和系数研究.pdf
800x1066 - 325KB - PNG

梦想江湖手游高战必备 剑阵玩法详解
550x330 - 50KB - JPEG

梦想江湖手游小身材大能量 宠物培养攻略
550x330 - 51KB - JPEG
简介:阶数只代表正方形矩阵的大小,并没有太多的意义。与其较为相关的矩阵的"秩"定义为一个矩阵中不等于0的子
用我十分不专业的理解说,点数就是控制点的数量,uv代表xy两个方向,因为犀牛里面都是面组成体的,所以只有两个方向,阶数就是光顺度,你试一下从一介到九阶的线画在同一位置
分集阶数(diversity order):指独立的支路衰落数,若每对接收天线间的衰落都独立,则分集阶数=分集天线数Nt*接收天线数Nr,分集阶数越多,可以获得的最大分集增益越大,对系统性
是说盲埋孔的层数,比如说一个6层板,一阶就是只有1-2、2-5、5-6和通孔这几种,二阶就复杂一些,有1-2、1-3、2-5、4-6、5-6和通孔,依次类推,阶数越高,成本越高,现在国内一般
只需要看最高次导数即可。 题中y'''就是最高次导数,求导次数为3。故此方程的阶数是3。#
原 LTE上行链路反馈MCS(计算MCS、调制阶数、编码速率、频谱效率关系表格) 彩陶瓜 阅读数:21960 2015-11-02 计算MCS、调制阶数、编码速率、频谱效率关系表格 因此
这个阶数是对应n阶多项式(n次多项式)的阶来说的。如果是别的定义就不对了。 我所学的多项式引入的是次数这个概念,阶数这个定义没接触过。 多项式环上,乘法成半群应该没
高数里的阶数是什么意思啊 高数里的阶数是什么意思啊 作业帮用户 2017-09-25 次数 平方是二阶 立方是三阶 N次方是N阶 作业帮用户 2017-09-25 举报 打开作业帮,更多回答
阶数 1、在递归数列中的定义。 br / 递归数列:一种用归纳方法给定的数列。 br / 举例:一个2维数组各元素输出后成魔方阵。在制定这样魔方阵的2维数组时要求是:阶数是1到15之