三角形的高的计算公式是:h=2×S△÷a(S△是三角形的面积,a是三角形的底) 解题思路: 三角形高的计算公式是在三角形的面积公式的基础上反推出来的。 三角形的面积计算
简介:等腰直角三角形是一种特殊的三角形,具有所有三角形的性质:稳定性,两直角边相等,直角边夹亦直角锐角45,
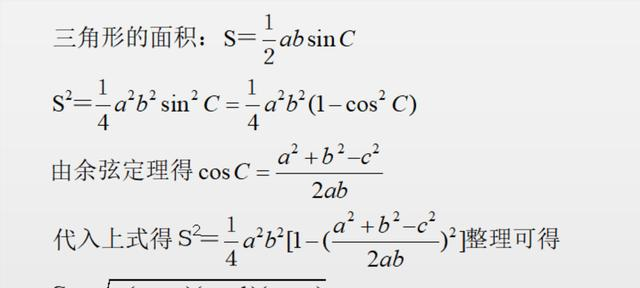
海伦公式古希腊数学家海伦建立的用三角形三边的长度求面积的公式,公式如下当三角形 对同学们的要求还是比较高的。 方法二:通过三角形内切
等边三角形内角为60度且高垂直且平分底边 已知三角形边长a,则根据勾股定理可求得高H H=根号(a^2-(a/2)^2)或者H=sin60×a 祝你愉快
边长的一半乘以根号3
那么需要你根据已知条件求出这个三角形的高。根据不同的已知条件,本文将展示多种不同的求解三角形高度的方法,让我们一起来学习吧!回想三角形的面积公式。三角形的面积

Wolfram Book 之根据三条边长推导三角形面积
555x363 - 25KB - PNG

等腰三角形底长为4高为2求边长
276x218 - 4KB - JPEG

三角形画高的工具【相关词_ ps钢笔工具画三角
768x396 - 96KB - JPEG
三个边长为3,4,5的直角三角形
959x609 - 46KB - JPEG
三角形的面积公式你只知道底乘高除2?其实海
640x321 - 21KB - JPEG
三角形的面积公式你只知道底乘高除2?其实海
640x257 - 13KB - JPEG

Excel用滚动条计算多边形面积的方法介绍
600x295 - 69KB - JPEG

锐角三角形函数公式总结大全_北京中考网
564x564 - 51KB - JPEG

三角形面积公式PPT_word文档在线阅读与下载
1080x810 - 71KB - JPEG

等边三角形的面积公式_360问答
600x450 - 23KB - JPEG

造价工程常用几何体面积计算公式:钝角三角形
300x300 - 12KB - JPEG

【求三角形高】公式是(面积X2底)问题是求三
497x288 - 8KB - JPEG

三角形的面积公式你只知道底乘高除2?其实海
640x288 - 106KB - PNG
三角形面积宽高公式证明及应用
640x453 - 43KB - JPEG
三角形的面积公式你只知道底乘高除2?其实海
640x365 - 21KB - JPEG
三角形的高计算公式三角形的高计算公式:S=1/2底×高用a表示底,h表示高 h=2S/a三角形面积公式是指使用算式计算出三角形的面积,同一平面内,且不在同一直线的三条线段
三角形的高怎么求公式 下载作业帮 扫二维码下载作业帮 拍照搜题,秒出答案,一键查看所有搜题记录 下载作业帮安装包 扫二维码下载作业帮 拍照搜题,秒出答案,一键查看所有搜
三角形求高的公式是什么 下载作业帮 扫二维码下载作业帮 4亿+用户的选择 下载作业帮安装包 扫二维码下载作业帮 4亿+用户的选择 三角形求高的公式是什么 作业帮用户201
1.用勾股定理做,解直接三角形 br / 腰长为A,底长为Y,高为H br / 则 已知三角形底a,高h,则S=ah/2 已知三角形三边a,b,c,则s=1/4*√[2(a^2b^2+ a)(p - b)(p - c)] (海伦公式)(p=(