arccosx)'=(π/2-arcsinx)'=-(arcsin x)'=-1/√(1-x^2)
y=arccosx 则cosy=x 两边求导: -siny·y'=1 y'=-1/siny 由于cosy=x, 所以siny=√(1-x²)=√(1-x²) 所以y'=-1/√(1-x²)
y'=-1/sqrt(1-1/x^2)*-1/x^2=|x|/(x^2*sqrt(x^2-1)) 答案补充 如图
记忆& arcsin(x),arccos(x),arctan(x),arccot(x)的
905x446 - 39KB - JPEG

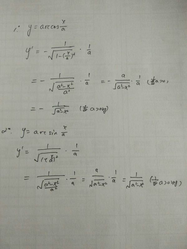
arccos(x\/a)的导数? 还有arcsin(x\/a)的导数是?
600x800 - 38KB - JPEG

反函数求导例子.ppt
960x720 - 120KB - JPEG

分表里有arcsin arctan的积分,为什么不将导数表
600x800 - 70KB - JPEG

分表里有arcsin arctan的积分,为什么不将导数表
600x800 - 61KB - JPEG

大学数学-最全高等数学公式.pdf
800x1131 - 98KB - PNG
Python应用2--简单的导数与不定积分
1080x582 - 30KB - JPEG

囹a.y
419x346 - 24KB - PNG

展开式为什么首项是π\/2 1,求arccosx的导数 2
600x319 - 44KB - JPEG

考研数学公式(省纸打印).pdf
800x1131 - 98KB - PNG

【400+考研】公式大全(高数、线代、概率论应
800x1131 - 184KB - PNG
![[电子书籍]高等数学公式.pdf](https://txt39-1.book118.com/2017/1017/book137366/137365199.png)
[电子书籍]高等数学公式.pdf
800x1131 - 97KB - PNG

考研数学公式大全(pdf清晰版_)2014-6-16 23.2
800x1131 - 91KB - PNG

高等数学微积分公式+三角函数+定理.pdf
800x1131 - 95KB - PNG

|x|≤1时,arcsinx-arccos(-x)=_360问答
413x704 - 8KB - PNG
arccosx的导数是多少?:arccosx)'=(π/2-arcsinx)'=-(arcsin X)'=-1/√(1-x^2)?
求导数的公式,要包括arcsin ,arccos,arctan ,arcsec等等 下载作业帮 扫二维码下载作业帮 拍照搜题,秒出答案,一键查看所有搜题记录 下载作业帮安装包 扫二维码下载作业帮 拍照
【cos导数】arccos x的导数是多少?/arccos x的导数是多少? arccosx)'=(π/2-arcsinx)'=-(arcsin X)'=-1/√(1-x^2) 答:y=1/cos^k*x 的导数设:cosx=u, (cosx)'=u' y=1/u^k y'=-k/u^(k+1)={
arccos(x/a)的导数?还有arcsin(x/a)的导数是?未解决问题等待您来回答奇虎360旗下最大互动问答社区
微信 朋友圈 微博 QQ QQ空间 复制链接 字号调整 反馈 取消 标准 大 超大巨大 推导y=arccos(x)的导数公式 LV 2013-09-10 满意答案 LV 2013-09-11 01 你可能感兴趣的内容
pai,(-1/2≤X≤1/2):令f(x)=3arccosX-arccos(3X-4X^3)(? 令f(x)=3arccosX-arccos(3X-4X^3)(-1/2≤X≤1/2)。 f'(x)=-3/√(1-x^2)+1/√(1-(3x-4x^2)^2)*(3-12x^2),通分得 f'(x)=[(3-12x^2)