刚刚!2018上海春考最低控制分数线公布!小布提
437x246 - 20KB - JPEG

2018上海春考最低控制分数线公布!小布提供查
700x350 - 37KB - JPEG
2016上海春考分数线什么时候出 2016上海春考
600x467 - 109KB - JPEG

2018年上海春考外语一考成绩几时公布?
252x480 - 34KB - JPEG

2015上海学业考(高三科目)和春考成绩10日公布
400x285 - 27KB - JPEG

上海2017年春考成绩公布 A03-上海新闻-新闻晨
430x577 - 62KB - JPEG
2017上海春考成绩公布、本科录取最低控制线
640x301 - 25KB - JPEG

上海春考成绩公布 志愿填报最低成绩控制线确
478x900 - 88KB - JPEG

上海春考成绩公布 志愿填报最低成绩控制线确
479x896 - 88KB - JPEG

刚刚!2019上海春考最低控制分数线公布!
1080x1527 - 182KB - JPEG

2016上海学业考(高三科目)和春考成绩查询时间
500x640 - 40KB - JPEG

2015上海春考分数线公布 春考招生安排表:14日
496x357 - 40KB - JPEG

上海春考成绩公布 志愿填报最低成绩控制线确
700x350 - 51KB - JPEG

上海春考成绩1月28日公布(附英语试卷点评)
656x628 - 76KB - JPEG

外语一考、上海春考成绩28日公布 考生可网上
700x350 - 34KB - JPEG
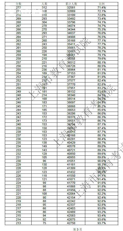
答:在公布春考成绩的同时,我们还会公布2019年上海市普通高校春季考试招生志愿填报最低成绩控制线。考生的统一文化考试成绩总分(含政策性加分)必须达到志愿填报最低成
答:在公布春考成绩的同时,我们还会公布2019年上海市普通高校春季考试招生志愿填报最低成绩控制线。考生的统一文化考试成绩总分(含政策性加
答:在公布春考成绩的同时,我们还会公布2019年上海市普通高校春季考试招生志愿填报最低成绩控制线。考生的统一文化考试成绩总分(含政策性加
时间:2019年02月25日 时间:2019年02月25日 时间:2019年02月25日 时间:2019年02月25日 2019年上海春季高考成绩公布时间及查询入口
高考网权威发布2019年上海春考成绩查询入口 1月28日18:00起公布,更多2019年上海春考成绩查询入口 1月28日18:00起公布相关信息请访问无忧考网
2019上海春考成绩公布时间为2019年1月28日18:00, 公布考生语文、数学、外语考试成绩,同时公布2019年春季考试招生志愿填报最低控制分数线。查
原标题:【教育】2019外语一考、上海春考成绩下周一公布! 东方网1月23日消息:据上海发布,同学们注意啦!市教育考试院说,2019年统一高考外语科目
来源:上海招考热线 2019-01-25 11:50 2019春季高考成绩查询什么时候开始?上海春考成绩公布时间 2019年统一高考外语科目考试(1月)和上海市普通
上海本地宝频道提供2019上海英语春考时间及成绩公布时间有关的信息,2019上海春季高考统一文化课笔试时间为1月5日-6日,英语笔试时间1月6日,听
劳动报记者从上海市教育考试院获悉,2019年统一高考外语科目考试和上海市普通高校春季考试评卷和校核工作完成,成绩即将公布。考生于1月28日1