高考试题 成绩查询 高考分数线 学费 大学分数线 录取分数位次版 大学录取线差 大学录取分数线排名 大学排名
高考分数一分一档_高考分数排名 学费 大学分数线 录取分数位次版 大学录取线差 大学录取分数线排名 大学
一品高考网提供河北高考成绩排名成绩排名,2018河北高考成绩排名分数排名,河北高考成绩排名成绩一分一段统计
随着2016年河北省高考录取分数线各批次录取线的公布,河北地区的考生要抓紧开始志愿填报的工作了~届时大家
2018河北高考成绩排名,河北高考,河北一本大学成绩排名_河北二本大学成绩排名_河北三本大学成绩排名_高考
每年高考后学生都会紧张的等待出分,想知道自己的成绩如何。1 2017河北高考文科分数排名
河北省2017年高考录取分数线及省排名汇总已整理,供2018届考生参考。
2017-2018河北二本大学排名及分数线(理科+文科)相关内容简介:2017-2018河北二本大学排名及分数线(理科+

广东2013高考分数段统计表(理工类)_高考网
411x568 - 77KB - JPEG

2016年河北高考成绩排名一分段统计表(文理科
599x971 - 264KB - JPEG

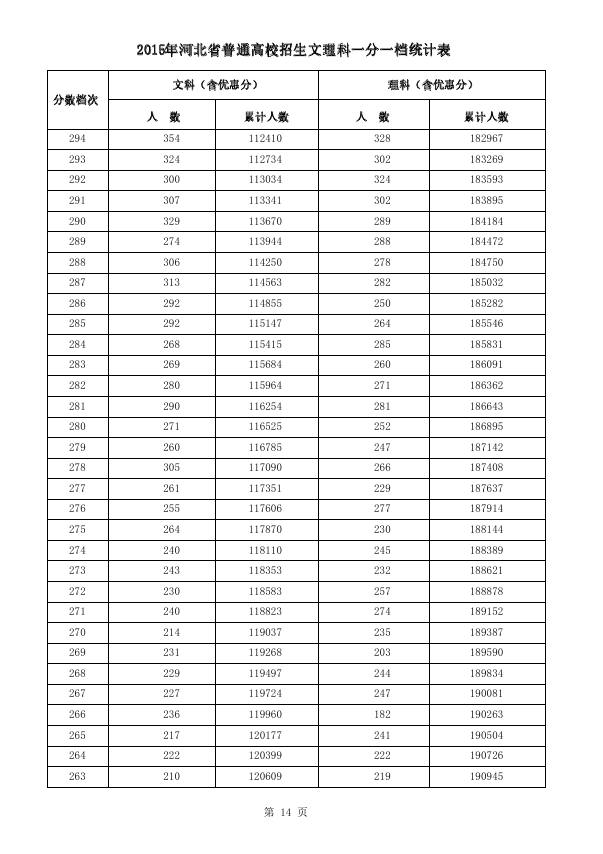
2015河北高考成绩排名(理科分数段统计)_河北
603x854 - 63KB - JPEG

2015河北高考成绩排名(理科分数段统计)_河北
603x854 - 52KB - JPEG

2015河北高考成绩一分一段统计表汇总
603x854 - 47KB - JPEG

2016年河北高考成绩排名一分段统计表(文理科
594x948 - 264KB - JPEG

2016年河北高考成绩排名一分段统计表(文理科
598x962 - 262KB - JPEG

2016年河北高考成绩排名一分段统计表(文理科
595x961 - 259KB - JPEG

2016年河北高考成绩排名一分段统计表(文理科
597x955 - 260KB - JPEG

2016年河北高考成绩排名一分段统计表(文理科
593x956 - 252KB - JPEG
中考生择校必看!2016河北重点高中高考成绩排
640x489 - 25KB - JPEG

2017年河北高考成绩一分一段表及河北高考个
790x560 - 43KB - PNG

2016河北高考分数文理科一分一档统计表|201
498x823 - 279KB - JPEG

2017年河北高考一分一档表 高考成绩排名_有
600x360 - 34KB - JPEG

2016河北高考分数文理科一分一档统计表|201
638x882 - 356KB - JPEG