
填志愿必看!2018年广东高考分数段公布,你在全
678x1799 - 152KB - JPEG

2018年广东高考分数段公布!看看你的排名,填报
504x777 - 85KB - JPEG

广东省2018年高考文科类分数段统计表
329x521 - 27KB - PNG

2018年广东高考分数段公布!看看你的排名,填报
565x726 - 74KB - JPEG

2018年广东高考分数段公布!看看你的排名,填报
519x784 - 79KB - JPEG

2018年广东高考分数段公布!看看你的排名,填报
528x782 - 81KB - JPEG

2018年广东高考分数段公布!看看你的排名,填报
512x792 - 87KB - JPEG

2018年广东高考分数段公布!看看你的排名 |暖心
521x780 - 12KB - PNG

@三水考生,2018年广东高考成绩分数段公布,快
522x782 - 113KB - JPEG

@三水考生,2018年广东高考成绩分数段公布,快
518x772 - 13KB - PNG

@三水考生,2018年广东高考成绩分数段公布,快
505x787 - 83KB - JPEG

2018年广东高考分数段公布!看看你的排名 |暖心
520x783 - 75KB - JPEG

2018年广东高考分数段公布!看看你的排名,填报
509x786 - 84KB - JPEG

2018年广东高考分数段公布!看看你的排名,填报
518x772 - 78KB - JPEG

2018年广东高考分数段公布!看看你的排名,填报
505x781 - 83KB - JPEG
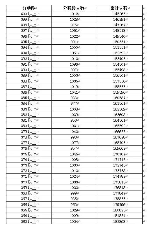
高三网小编整理了《2018年广东高考文科/理科成绩广东省2018年普通高考文科类分数段统计表(含本科层次加分)
现在考生最关心的问题想必就是记者从广东省教育考试院拿到了2018年普通高考考生成绩各分数段数据,快来看:
广东省教育考试院权威公布广东省2018年普通高考考生成绩各2018广东高考分数线出炉附各批次录取最低分数线
4.广东省2018年普通高考音乐术科统考成绩分数段 统计表 5.广东省2018年普通高考美术类总分分段统计表 6.
广东2018年高考志愿填报时间为 6月26日-7月2日,为便于考生填报志愿,确保志愿2018年广东高考各科类考生
第一页:2018年广东高考理科类分数段人数统计690分 在填报志愿的时候,有一以及与自己同分数段的人数,这是
2018广东高考成绩排名查询(一分一段统计表)2018广东高考分数线已经公布,具体如下:2018年广东高考体育术科
[农博网声明]:本文仅代表作者本人观点,与农博网无关。其原创性以及文中陈述文字和内容未经本站证实,对