
2018广东高考理科综合复习提分方法
794x460 - 113KB - JPEG

2018广东高考理科数学答题解题技巧
556x378 - 22KB - JPEG

2015广东高考理科数学真题答案及解析
450x558 - 37KB - JPEG

2018年广东高考理科数学试题参考答案
800x973 - 60KB - JPEG

2018高考广东理科数学试题参考答案出炉 你考
600x712 - 54KB - JPEG

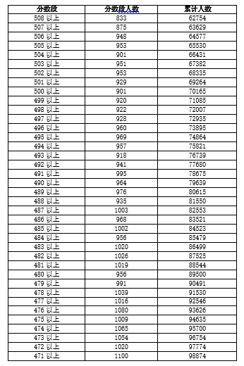
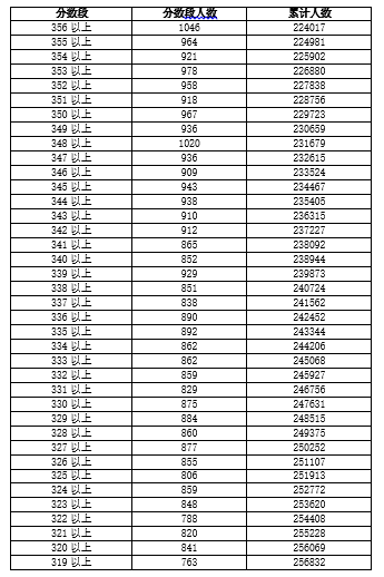
广东省2018年高考理科类分数段统计表
361x490 - 24KB - PNG

2018年广东高考理科二本录取率及录取人数统
454x360 - 27KB - JPEG

2018年广东高考理科前150名中 近1\/3是广州考
550x519 - 64KB - JPEG

权威发布!2018广东高考分数线公布:本科分数线
485x351 - 67KB - PNG
2018年广东高考分数线公布:本科文科443 理科
550x550 - 51KB - JPEG

广东省2018年高考理科类分数段统计表
346x520 - 28KB - PNG

广东省2018年高考理科类分数段统计表
345x518 - 28KB - PNG

2018广东高考理科一分一档表
600x375 - 48KB - JPEG

2018广东高考文理科本科一本三本分数线高考
441x271 - 13KB - JPEG

高清组图:2015年广东高考数学真题(理科)|甘霖
600x924 - 98KB - JPEG
2018高考广东数学.2018届高考广东省数学科平均分:理科数学约78分,文科数学约66分,2017届高考广东省数学
2018年6月25日,广东省2018年高考理科一分一段表排名公布。广东省2018年高考一分一段表排名(理科)
今天,一张“2018年全省高考理科前150分分布”从各大群上疯传,从数据可以发现,广东理科前150名考生当中,
第一页:2018年广东高考理科类分数段人数统计690分 在填报志愿的时候,有一项数据要特别关注,那就是自己
由于2018年广东高考一分一档表还没有发布,小编为大家整理了2017年广东高考理科一分一档表,供大家参考。
文理科分开排名,每一个分数段上有多少人一目了然。2018广东高考个人成绩排名一分一段表数据 通过这个表,
考试吧:2018年广东高考数学答案(理科)由高考栏目提供,查找更多考试吧:2018年广东高考数学答案(理科)请
为了给2018届高考生报考提供更有针对性的参考,高考快讯将推出系列文章,对2017年广东高考文理科一本、二本