宽禁带半导体ZnO材料的调研 qingcunzuoan|2013-12-11 |举报 共享文档 共享文档是百度文库用户免费上传的可与其他用户免费共享的文档,具体共享方式由上传人自由设定。了

一文尽知第三代宽禁带半导体应用及相关收购事
503x445 - 68KB - JPEG

宽禁带半导体器件推进电力电子技术变革
1650x1275 - 130KB - JPEG

以碳化硅为核心的宽禁带半导体材料将成为电子
588x350 - 23KB - JPEG

第三代半导体 该拿什么拥抱固态紫外市场?-第
628x322 - 27KB - JPEG

一文尽知第三代宽禁带半导体应用及相关收购事
1858x972 - 178KB - JPEG

氮化镓GaN、碳化硅SiC等宽禁带材料将成为电
542x314 - 25KB - JPEG

沉积时间对磁控溅射法制备宽禁带半导体薄膜材
503x409 - 80KB - JPEG

趣科技,最全面的趣科技文章
500x276 - 168KB - PNG

第三代宽禁带半导体应用简析
600x301 - 18KB - JPEG

超宽禁带半导体材料器件研讨会在山大举行
600x400 - 57KB - JPEG

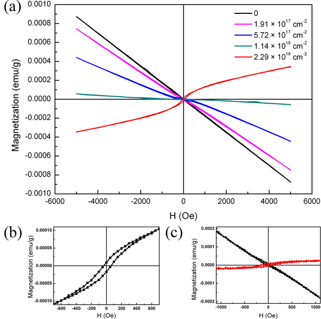
宽禁带半导体磁性起源研究取得新进展--中国科
650x646 - 45KB - GIF

第三代宽禁带半导体应用简析
600x270 - 17KB - JPEG

《氮化物宽禁带半导体材料与电子器件》郝跃、
800x800 - 16KB - JPEG

氮化物宽禁带半导体材料与电子器件\/郝跃,张金
220x220 - 5KB - JPEG

氮化物宽禁带半导体材料与电子器件\/郝跃
300x300 - 12KB - JPEG