为帮助广大考生了解2018年广西高考录取分数情况,中国教育在线高考频道特整理211大学2018年在广西(理科)投档分数线及位次排名,供大家参考。 (中国教育在线统计发布,转

2018年广西理科二本录取分数线预测,广西理科
1254x912 - 137KB - JPEG

2018年广西理科二本录取分数线预测,广西理科
600x466 - 127KB - PNG

2018年广西理科二本录取分数线预测,广西理科
450x300 - 36KB - JPEG

2018年广西高考理科二本录取率及录取人数统
640x424 - 207KB - JPEG

2018年广西理科二本录取分数线预测,广西理科
300x225 - 6KB - JPEG
立帖为证:预测2018年高考,广西理科一本线468
640x402 - 176KB - PNG
立帖为证:预测2018年高考,广西理科一本线468
639x329 - 178KB - PNG

2018年广西高考理科数学真题!附带试题答案!
436x240 - 17KB - JPEG

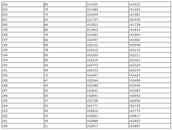
2018年广西高考文科理科一分一档表
600x455 - 78KB - JPEG

2018年广西高考理科一本录取率及录取人数统
455x282 - 92KB - JPEG
广西理科生600分的成绩,2018高考能报什么学
640x905 - 52KB - JPEG

2018年广西高考理科一本录取率及录取人数统
300x225 - 17KB - JPEG

2018年广西高考理科二本录取率及录取人数统
300x225 - 14KB - JPEG

2018年广西高考理科二本录取率及录取人数统
300x225 - 16KB - JPEG

2018年广西高考理科一本录取率及录取人数统
300x225 - 15KB - JPEG