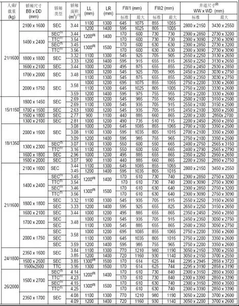
电梯井道尺寸表 流浪的风010|2016-08-06 |举报 电梯井道的规定尺寸 共享文档 共享文档是百度文库用户免费上传的可与其他用户免费共享的文档,具体共享方式由上传人自由设

温州载货电梯
600x837 - 234KB - JPEG

就是安装电梯的井道
500x548 - 35KB - JPEG

有机房+观光电梯
637x517 - 104KB - JPEG

别墅区住宅电梯井道尺寸|搜房地产资讯
653x489 - 84KB - JPEG

住宅电梯井道尺寸_房产知识_搜房网
686x553 - 123KB - JPEG

担架电梯井道尺寸 - 装修知识 - 九正家居网
450x222 - 16KB - JPEG

住宅电梯井道尺寸|搜房地产资讯
710x344 - 64KB - JPEG

【江门酒店传菜电梯尺寸价格_江门酒店传菜电梯尺寸厂家】- 网络114
457x416 - 77KB - GIF

一个电梯土建图_搜图网
810x532 - 84KB - JPEG

住宅电梯井道尺寸|搜房地产资讯
686x396 - 77KB - JPEG

su电梯室内设计素材室内装修效果图模型等资料
300x212 - 22KB - JPEG

住宅电梯井道尺寸|搜房地产资讯
437x600 - 96KB - JPEG

电梯井道建筑尺寸图纸_CO土木在线(原网易土
622x446 - 110KB - JPEG

住宅电梯井道尺寸|搜房地产资讯
469x600 - 117KB - JPEG

广日电梯井道土建图
560x402 - 64KB - JPEG