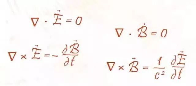
电磁场公式总结.doc 文档介绍: 电荷守恒定律:电荷既不能被创造,也不能被消灭,它们只能 场能量:电场磁场电磁波能量密度e1 D E 2 ? ? m1 B H 2 ? ? 2 2 2 2 1 ( ) 2 e m w w w E

高中物理专题分析·电磁和电磁场
163x227 - 21KB - JPEG

【粤教沪版电磁场问题复习课】-高中二年级物
320x240 - 8KB - JPEG

步2014-2015学年高中物理5.1-5.2电磁场理论引
1152x648 - 638KB - PNG

高中物理电磁学公式总结_高三网
600x375 - 43KB - JPEG

高中物理第5章新时空观的确立5.1电磁场理论引
1200x900 - 30KB - PNG

高中物理第5章新时空观的确立5.1电磁场理论引
993x1404 - 80KB - PNG

高中数学公式背后的有趣的故事,看完就能爱上
640x283 - 11KB - JPEG

高中物理电磁场
231x180 - 17KB - PNG

高中数学公式背后的有趣的故事,看完就能爱上
500x332 - 14KB - JPEG

2017年高中物理第5章新时空观的确立5.1电磁
993x1404 - 93KB - PNG

2016-2017学年高中物理沪科版选修3-4习题 第
794x1123 - 63KB - PNG

高中数学公式背后的有趣的故事,看完就能爱上
640x283 - 11KB - JPEG
高中物理必背重点公式大汇总,快快收藏
640x1046 - 49KB - JPEG
高中物理典型问题分析:带电粒子在电磁场(组合
208x171 - 7KB - JPEG

关于前瞻电磁传感器的原理(科普)_飞思卡尔智
430x500 - 20KB - JPEG