CFA考试需提前一小时进场检查准考证、身份证及计算器。上午考试时间:9:00--12:00,8:00开始入场,8:40以后不得擅自离开考场;下午考试时间:14:00--17:00,13:00开始入场,13

2017年CFA报名停止缴费是什么时候?
526x258 - 7KB - PNG

2017年CFA报名停止缴费是什么时候?
302x210 - 127KB - PNG

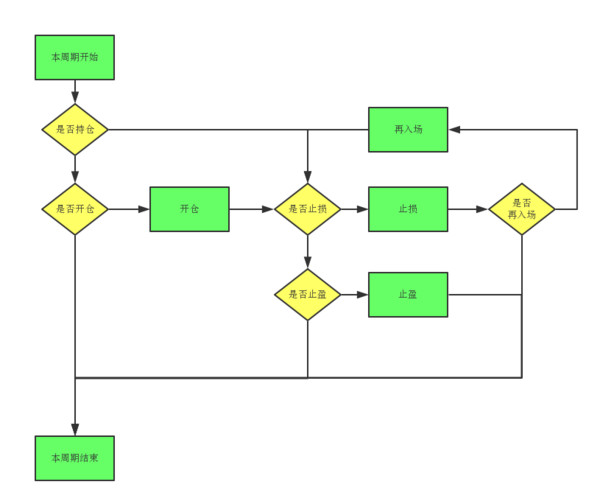
张逸辰CFA: 交易系统系列(2)--止损模块及再入
600x504 - 28KB - JPEG
bookshelf6.6停止工作的可能应对方法 - CFA -
534x413 - 48KB - PNG

【原创】 停止争论,数据说话,中国真实的CFA持
512x521 - 226KB - JPEG

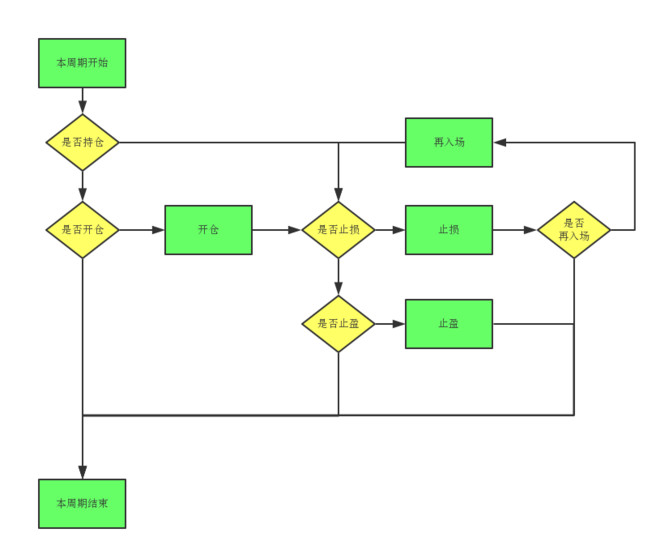
张逸辰CFA: 交易系统系列(2)--止损模块及再入
660x554 - 30KB - JPEG

我已经在吸猫的世界中无法停止,忽然发现我需
480x480 - 14KB - JPEG

证狂人,工作之余顺手拿下ACCA+CPA+CFA及
1000x562 - 71KB - JPEG

证狂人,工作之余顺手拿下ACCA+CPA+CFA及
1000x562 - 56KB - JPEG

张逸辰CFA: 交易系统系列(2)--止损模块及再入
433x163 - 33KB - JPEG

证狂人,工作之余顺手拿下ACCA+CPA+CFA及
667x442 - 375KB - PNG

毕马威考证狂人,工作之余顺手拿下CFA+CPA+
180x136 - 4KB - JPEG

证狂人,工作之余顺手拿下CPA+ACCA+CFA及
180x136 - 9KB - JPEG

VitalSource Bookshelf6.2已停止工作怎么办?下
363x179 - 17KB - JPEG