决正项级数收敛性判断。正项级数收敛性判断的方法虽然较多,但使用起来仍有一定的 柯西积分判别法 对于正项级数 1 n n u ,设 n u 单调减少的数列,作一个连续的单调减少的

判断级数ln(n+1分之n)的收敛性-用比较法判断级
350x466 - 75KB - JPEG

判定级数n!\/(2^n+1)从n=1到无穷大求和的收敛性
557x414 - 46KB - JPEG

判定级数2^n^2\/n!从n=1到无穷大求和的收敛性
466x214 - 14KB - JPEG
![判别无穷级数的收敛性 1\/[n(1+1\/2+…+1\/n)^2]](http://g.hiphotos.baidu.com/zhidao/wh%3D450%2C600/sign=ebb5b2fa73f082022dc7993b7ecbd7db/b2de9c82d158ccbf2a7fe3e319d8bc3eb0354123.jpg)
判别无穷级数的收敛性 1\/[n(1+1\/2+…+1\/n)^2]
450x261 - 14KB - JPEG

求易懂的解题步骤判断∑1\/n(-1)^n (cosn)^2的收
600x450 - 30KB - JPEG

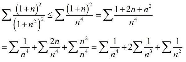
判断下列级数的收敛性 ∑(∞,n=1)(1+n)\/(1+n)_
600x203 - 16KB - JPEG

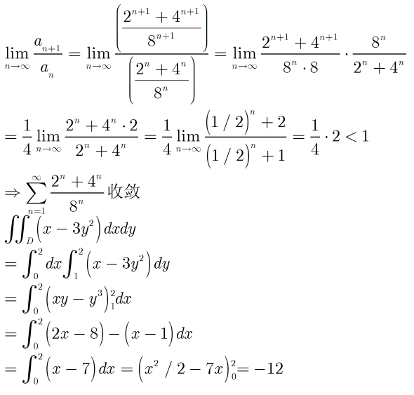
求具体步骤:1、判断级数2^n+4^n\/8^n的收敛性
590x563 - 48KB - PNG

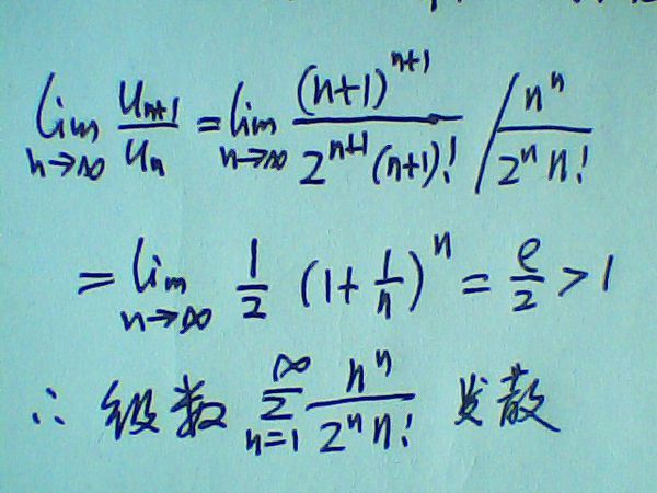
判别级数∑_(n=1)^∞n^n\/(2^n n!)的收敛性_360
600x450 - 43KB - JPEG

怎么判断级数1\/(3n)是收敛的?我刚开始学级数
826x1169 - 26KB - PNG

怎么判断级数1\/(3n)是收敛的?我刚开始学级数
541x960 - 68KB - JPEG

1\/n(n+1)(n+2)怎么判断该级数的收敛性?
281x377 - 14KB - JPEG

怎么判断级数1\/(3n)是收敛的?我刚开始学级数
600x450 - 75KB - JPEG

高数的收敛性判断1\/(1+a^n) (a 0)-高数-判断收敛性
530x908 - 50KB - GIF

讨论级数∑㏑【1+(-1)∧n\/n∧p】的绝对收敛性
800x1085 - 109KB - PNG

讨论级数∑㏑【1+(-1)∧n\/n∧p】的绝对收敛性
800x600 - 61KB - PNG