简介:高中作文|衡水中学|优秀作文|衡水中学优秀作文1_高中作文_高中教育_教育专区。衡水中学优秀作文范文您的评论发布评论用户评价推荐,作者还有其他关于衡水中学. 25

腾讯大燕网:膜拜!衡水学霸笔下的高考印刷体
667x1000 - 149KB - JPEG

2014河北衡水中学高考语文模拟试题
500x414 - 102KB - JPEG

衡水中学作文卷面 - 成长日记 - 典 滴瞬间
550x1063 - 442KB - JPEG

要一篇介绍自己的作文,是个女生。初中水平,8
450x450 - 31KB - JPEG

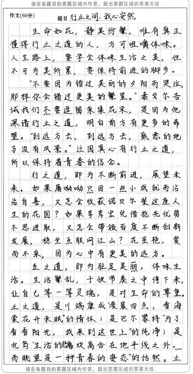
衡中学霸们的手写印刷体,简直绝了!看字就想给
640x1188 - 540KB - JPEG
.jpg)
学习方法:小升初多得分,字体卷面要整洁_学习
595x424 - 198KB - JPEG

平安武汉:【越南女留学生写字犹如印刷体 仅学
440x483 - 77KB - JPEG

刷体 网友汗颜(组图)-黎氏水,田英章,衡水中学,写
640x703 - 85KB - JPEG

衡中学霸们的手写印刷体,简直绝了!看字就想给
640x1263 - 670KB - JPEG

再拜!这竟是衡中学生的手写作文?_即通手机客
300x580 - 85KB - JPEG

衡中学霸们的手写印刷体,简直绝了!看字就想给
640x1238 - 555KB - JPEG

衡水中学学霸字体笔记|衡水中学文科学霸高中
580x345 - 41KB - JPEG

再拜!这竟是衡中学生的手写作文?_即通手机客
300x556 - 78KB - JPEG

【媒体看衡中】腾讯大燕网:膜拜!衡水学霸笔
667x1000 - 124KB - JPEG

这位衡中学霸,高考英语149分!她的学习方法是
438x253 - 30KB - JPEG