Isobutylchloroformate

Isobutyl Chloroformate (CAS RN:543-27-1 产品编码:C0178) 结构式 别名 (英文) Chloroformic Acid Isobutyl Ester 别名 (英文) IBCF 中文名 氯甲酸异丁酯 中文别名 异丁基氯甲酸

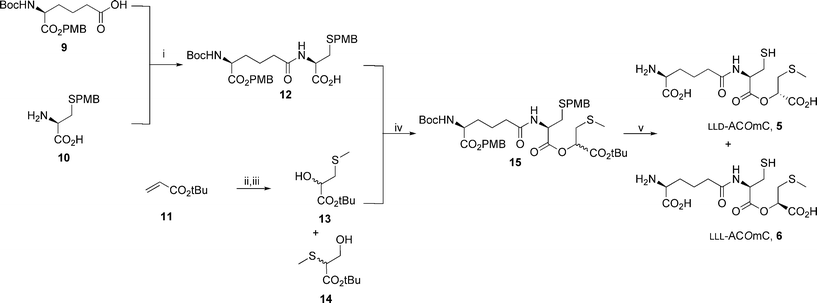
The crystal structure of an lll -configured depsip

The crystal structure of an lll -configured depsip

817x303 - 25KB - GIF

大家都在看

相关专题