
贵州2016高考成绩分段统计表(理科)
1282x505 - 28KB - PNG

2016年贵州高考文科成绩排名五分段表-贵州高
1282x505 - 38KB - PNG

2016年贵州高考成绩分段表(理工类)
625x306 - 55KB - JPEG

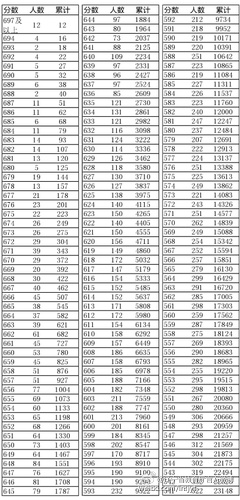
2016贵州高考成绩分数段统计表(理工类)
605x564 - 100KB - JPEG

2016贵州高考成绩分数段统计表(文史类)
602x568 - 103KB - JPEG

2016贵州高考分数段|2016贵州高考一分一段表
240x500 - 71KB - JPEG

2016年贵州高考成绩分段表(文史类) 高考资讯
630x948 - 339KB - JPEG

2016贵州高考分数段|2016贵州高考一分一段表
723x602 - 197KB - JPEG

2016年贵州高考成绩分段表(文史类)
1282x505 - 36KB - PNG

2014年贵州高考总分一分段统计表(文史类)_高考网
549x448 - 60KB - PNG

【2014年贵州高考总分一分段统计表(理工类)】
550x442 - 177KB - JPEG

2016年贵州高考成绩分段表(文史类)-各省市高
638x445 - 80KB - JPEG

2016年贵州高考成绩排名一分一段统计表(理科
542x300 - 361KB - PNG

2016贵州高考分数段统计表(理科)
576x446 - 113KB - JPEG

2016年吉林省普通高校招生考试文史1分段表(
550x416 - 58KB - JPEG