清华大学材料学院教授刘锴来实验室访问 2017-10-23 12:03 审核人: 人事部|财务部|资产与实验

青年千人计划入选者刘锴:不忘初心 不辱使命
400x266 - 68KB - JPEG

清华大学材料学院
436x500 - 190KB - JPEG

校党委书记胡和平一行调研材料学院 - 清华大学
425x283 - 48KB - JPEG

【宣传片】四分钟了解清华大学材料学院视频在
1733x1083 - 109KB - JPEG

清华大学材料学院教授刘锴来实验室访问
699x1063 - 164KB - JPEG

材料学院30周年院庆高端论坛报告--清华大学江
1269x846 - 221KB - JPEG
材料学院:清华大学教授莅临我校作学术报告
600x400 - 81KB - JPEG

清华大学材料学院在高效析氢催化电极研究方面
600x399 - 108KB - JPEG

2016清华大学美术学院高分试卷速写大全!(素描
1280x1920 - 433KB - JPEG

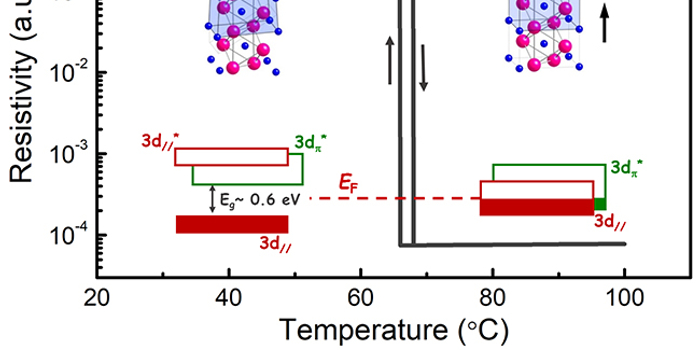
清华材料学院刘锴团队发表综述文章系统阐释二
700x350 - 33KB - JPEG

清华大学经管学院院长钱颖一
505x335 - 19KB - JPEG

2016清华大学美术学院高分试卷速写大全!(素描
1280x1901 - 254KB - JPEG

图文:清华五道口金融学院院长吴晓灵演讲|吴晓
550x413 - 25KB - JPEG

清华大学美术学院历年考题2005--2010年
750x1043 - 195KB - JPEG

清华大学新闻学院教授刘建明_深度报道
500x350 - 21KB - JPEG