求高数第五版上册的教学视频 123x220 高等数学复习要点与例题视频教程 共5章 大一高数视频教程 293x220

大一高数,求平均成本最小,第二问,求过程_360问
600x450 - 38KB - JPEG

高数微分方程,这道题用不定积分可以算出来,答
600x338 - 16KB - JPEG

大一高数题1,2,3的过程._360问答
600x800 - 46KB - JPEG

大一高等数学定积分简单问题求大神告知,为何
600x800 - 49KB - JPEG

大一高数《线性代数》,求此矩阵的秩:_360问答
388x524 - 17KB - JPEG

大一高数,求收敛几何级数的和s与部分和sn之差
600x338 - 21KB - JPEG

大一 高等数学 等价无穷小 RT 是怎么推导出来
600x338 - 13KB - JPEG

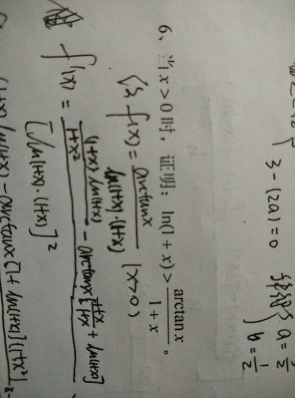
大一高数_360问答
620x826 - 50KB - JPEG

大一高数第四题,数学_360问答
600x800 - 47KB - JPEG

大一高数,根据函数极限的定义证明lim。2题和
600x800 - 56KB - JPEG

大一高数题,划线的,在线求解答要过程,会采纳的
600x800 - 52KB - JPEG

大一 高数 求过程 _360问答
600x800 - 21KB - JPEG

大一高数题么_360问答
593x800 - 44KB - JPEG

求解大一高数_360问答
600x800 - 19KB - JPEG

求解一道大一高数题(2015.3.16I)有过程优先采
600x800 - 48KB - JPEG