每个人的基因位点的碱基对是固定的,不同计算器只是模型有差异。现在可以下载原始数 @Oops: 我把我的K12,K7,E11都贴出来了,感觉和23魔方给出的民族成分有一定差异,你

E11.苹果型身材风险基因检测
181x363 - 17KB - JPEG
我的e11 微基因 和str检测结果 求点评分析 - 姓
339x600 - 28KB - JPEG
吉林于的微基因检测结果以及E11计算结果 - 姓
300x600 - 15KB - JPEG
南阳古的微基因检测结果以及K7b、K12b及E1
619x600 - 18KB - JPEG

生态小镇有机亚麻子籽仁非转基因胡麻籽亚麻籽
200x200 - 19KB - JPEG

我做了基因检测 | 它说我得精神分裂症的概率比
640x640 - 46KB - JPEG

自家种植有机红谷子非转基因小米,米不好吃白
600x1065 - 112KB - JPEG

个国家和地区进行临床应用,疗效显著,各基因型
550x361 - 29KB - JPEG

科学家将外源目的基因与大肠杆菌的质粒进行重
552x325 - 79KB - PNG

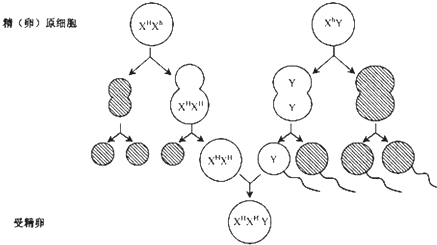
甲型血友病是由X染色体上的隐性基因导致的遗
452x311 - 28KB - PNG

甲型血友病是由X染色体上的隐性基因导致的遗
437x245 - 25KB - PNG

是临床应用最频繁和最重要的血型系统,基因IA
529x228 - 29KB - PNG

称自己是曹操的传人.复旦大学课题组从基因层
505x323 - 27KB - PNG

基因工程操作步骤中,需要从受体细胞群中筛选
506x276 - 9KB - PNG

【优质小米 大黄米 月子米 纯天然非转基因 五谷
737x456 - 39KB - JPEG