色久久综合网您提供全球综合在线免费视频在线观看网站,每日适度的观看本站激情在线高清电影可减轻生活压力,增进夫妻感情

2013年南昌最新房贷利率表 中行部分支行停贷
666x571 - 171KB - JPEG

2013年合肥市最新房贷利率表一览
450x412 - 392KB - PNG

中国银行2013年房贷基准利率是多少 - 中国银
499x235 - 28KB - JPEG

2013农行房贷利率是多少?不同期限的区别?
400x300 - 17KB - JPEG

2013年商业房贷利率\/商业房贷利率2013\/2014
695x600 - 55KB - JPEG

房贷利率优惠已消失 中山有银行首套房利率上
463x464 - 139KB - JPEG

2013年商业房贷利率\/商业房贷利率2013\/2014
580x408 - 18KB - JPEG

2013年首播房贷:利率仍可8.5折 优质楼盘折扣
472x475 - 113KB - JPEG

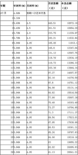
银行利息是多少? 2013年房贷利率表一览_济南
285x600 - 39KB - JPEG

银行利息是多少? 2013年房贷利率表一览
288x600 - 41KB - JPEG

银行利息是多少? 2013年房贷利率表一览
303x600 - 45KB - JPEG

多银行首套房利率优惠 二套房贷利率未调_吉林
410x422 - 21KB - JPEG

房贷年利率下调影响楼市 2013年房产政策将出
420x279 - 32KB - JPEG

2013年中行最新房贷利率出炉 首套利率上浮1
377x452 - 37KB - JPEG

2013年最新房贷利率:按照年利率6.55%执行
400x275 - 21KB - JPEG