函数的性质是研究初等函数的基石,也是高考考查的重点内容 .提高学生用换元、转化、数形结合等数学思想方法

高考数学压轴题解题技巧:函数分式例题1
600x337 - 46KB - JPEG
正华高考数学-高考必备解题技巧提高篇-恒成立
448x252 - 22KB - JPEG

高考数学三角函数解题技巧与练习(1)_普通高考
609x371 - 30KB - JPEG

高考数学三角函数解题技巧与练习(5)_普通高考
448x257 - 16KB - PNG
正华高考数学-高考必备解题技巧-特殊值法在函
448x252 - 17KB - JPEG

高考数学三角函数解题技巧
1000x720 - 92KB - JPEG

高中数学竞赛考试技巧
500x313 - 18KB - JPEG

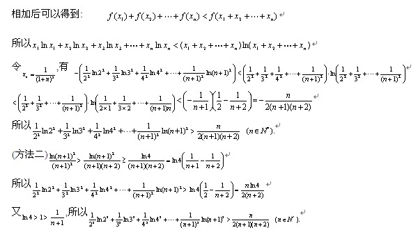
高考数学压轴题解题技巧:函数放缩例题7
600x331 - 49KB - JPEG
正华高考数学-高考必备解题技巧基础篇-函数零
448x252 - 17KB - JPEG
2018高中高考数学函数与导数题型解题技巧汇
516x729 - 41KB - JPEG
2018高中高考数学函数与导数题型解题技巧汇
516x729 - 38KB - JPEG
2018高中高考数学函数与导数题型解题技巧汇
516x729 - 47KB - JPEG

高中数学函数解题技巧方法总结(高考).doc
993x1404 - 89KB - PNG
高考数学必考考点之函数与导数解题技巧与方法
624x279 - 26KB - JPEG

2014高考金钥匙数学解题技巧大揭秘专题二函
794x1123 - 35KB - PNG