吉他牛人教你学吉他常用扫弦节奏型,简单易学 去下载 下载需先安装客户端 {clientText} 客户端特权: 3倍流畅播放 免费蓝光 极速下载 {title} 当前播放至 {time} 扫一扫手机继续看

想找某首只有扫弦的歌的弹唱谱还是要找扫弦的
433x601 - 57KB - JPEG

这首曲子适合的扫弦节奏型 如图所示
741x376 - 86KB - JPEG

我推荐几个扫弦和切音常用的节奏型~
500x388 - 23KB - JPEG

求吉他扫弦谱+-+已解决
438x180 - 15KB - JPEG

就是童年的节奏型
500x377 - 17KB - JPEG

让纷繁复杂的扫弦节奏变得简单(下)吉他中国★
320x200 - 8KB - JPEG

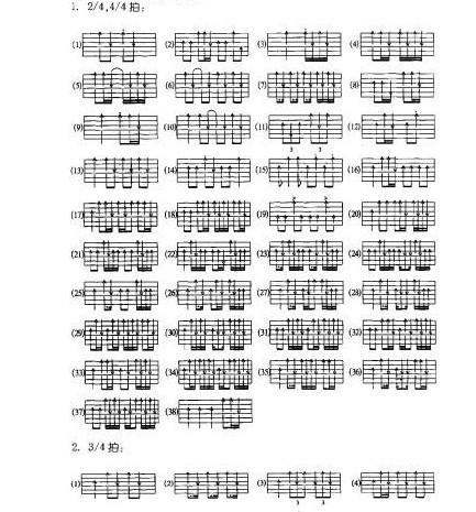
常用吉他节奏型汇总- 教吉他曾老师的日志
730x796 - 141KB - GIF
视频-脸谱吉他的频道
448x252 - 17KB - JPEG

星空扫弦节奏是怎么样的啊
500x667 - 48KB - JPEG

吉他扫弦的强弱,比如4\/4拍的`蓝莲花·这首歌,
433x465 - 50KB - JPEG

吉他扫弦的节奏型有多少种?该怎么科学的练习
761x1066 - 23KB - PNG

光辉岁月扫弦节奏型_光辉岁月吉他谱_钟爱阁
549x220 - 18KB - JPEG

常用吉他节奏型汇总
730x1137 - 211KB - GIF

let her go扫弦节奏_let her go吉他谱_钟爱阁 -
428x220 - 22KB - JPEG

kejc视频:手指扫弦-15个4-3拍吉他扫弦节奏型!
650x344 - 40KB - JPEG