2018年高考成绩公布时间及查询方式汇总 省市 出分时间 成绩查询渠道 6月23日16:00 6月23日20:00以后 6月24日20:00以后 6月25日12:00 6月25日18:00 6月25日12:00 由于

2018上海春季高考成绩公布时间
600x360 - 27KB - JPEG

2018年天津春季高考成绩查询入口公布
728x383 - 30KB - PNG
上海2018春季高考开考 外语成绩可替代高考分数
550x412 - 38KB - JPEG

天津2018春季高考成绩查询入口官网:天津招考
481x255 - 38KB - JPEG

上海2018年春季高考成绩分段线公布
523x900 - 133KB - JPEG

上海2018年春季高考成绩分段线公布
523x900 - 133KB - JPEG

上海2018年春季高考成绩分段线公布
523x900 - 131KB - JPEG

2018上海春季高考成绩公布!志愿填报最低成绩
473x898 - 91KB - JPEG

上海教育考试院:2018上海春季高考成绩查询入
546x312 - 24KB - JPEG

2018上海春季高考成绩公布
900x500 - 118KB - JPEG

2018上海春季高考成绩公布!志愿填报最低成绩
796x1083 - 238KB - JPEG

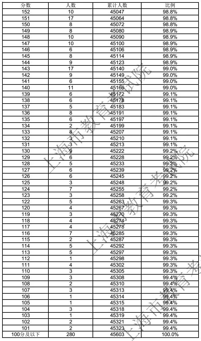
2018年上海春季高考成绩分布表
656x1276 - 168KB - JPEG

2018年上海春季高考成绩分布表
656x1110 - 146KB - JPEG

上海2018年春季高考成绩分段线公布
524x900 - 131KB - JPEG

2018上海春季高考成绩公布!志愿填报最低成绩
479x896 - 115KB - JPEG