专业文档是百度文库认证用户/机构上传的专业性文档,文库VIP用户或购买专业文档下载特权礼包的其他会员用户可用专业文档下载特权免费下载专业文档。只要带有以下“专
目前的下属公司基本分三大模块进行管理:新业务(网络设备,电 子商务,网络服务和其他新 股份公司收购原西门子通讯终端设备公司外方股份后形成亿 人公司。股份公司计划在该
简介:公司管理层是指大公司内部管理人员的一层,大多指领导,上司,经理,主任,他们的职务,比如说人员管理、
专业文档是百度文库认证用户/机构上传的专业性文档,文库VIP用户或购买专业文档下载特权礼包的其他会员用户可用专业文档下载特权免费下载专业文档。只要带有以下“专
一般的企业分为领导层、高层、中层、基层。 领导层:董事会及董事长; 高层:总经理、副总经理、各主管副总经理、总工程师、总会计师等; 中层:各职能科室主管、各车间主任等; 基层:各队、工段、班组长等。
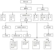
党群部门包括在内,不必单独写。 如下反示的某公司的组织架构: 公司董事会--公司管理层--具体部门: 综合部:后勤服务中心、物资管理中心 人力资源部:鼎湖培训中心 企业发展部: 市场经营部:计费业务中心、数据业务中心 客户服务部: 网络部:网管维护中心、信息技术中心 工程建设部:工程管理中心 财务部: 物资供应部: 党群事务部: 监察审计部: 工会:
现在索尼在年轻人心中从一个高技术家电公司,摇身变成了游戏公司,啊不,游戏机公司,未必是好事 真正能够代表索尼传统消费技术优势的影像,来日方长,而代表新消费技术的手机
4、股东大会及董事会、监事会的日常事务管理。 调整后的组织架构图请参看后附附件内容。 三、备查文件 1、《牧原食品股份有限公司第二届董事会第二十次会议决议》。
首页 关于宝业 组织架构 宝业集团股份有限公司 ©版权所有浙ICP备14042567号-1 浙公网安备33060302000268号 地址:中国浙江省绍兴柯桥山阴西路501号邮编:312030联系电
股 份 有 限 公 司 高 管 架 构 markasathor|2011-01-29 马上扫一扫 手机打开 随时查看 专业文档是百度文库认证用户/机构上传的专业性文档,文库VIP用户或购买专业文档下载

易食集团股份有限公司简式权益变动报告书
300x232 - 10KB - JPEG

杭州老板电器股份有限公司公告(系列)
300x226 - 17KB - JPEG

泰豪科技股份有限公司公开发行公司债券募集说
300x206 - 19KB - JPEG

香港印象集团股份有限公司
300x225 - 17KB - JPEG

格隆汇: H股全流通,又一场股权分置改革盛宴?
706x458 - 98KB - JPEG

华贸物流管理层巧妙套现事涉国资流失
858x419 - 107KB - JPEG

【走进工商银行】中国工商银行股份有限公司公
550x431 - 50KB - JPEG

上市公司名称:+新疆天山毛纺织股份有限公司
300x217 - 19KB - JPEG

东莞宏远工业区股份有限公司
220x208 - 8KB - JPEG

2002年9月外资联盟增资后的蒙牛股份股权结构
413x600 - 66KB - JPEG

小幅反弹回应减持落地,公司高层如果不是恶意
449x500 - 55KB - JPEG
巨人网络终成功借壳,VIE架构拆除步骤详解 - 今
583x336 - 13KB - JPEG

中煤能源股份有限公司组织管理结构图
500x480 - 61KB - JPEG

浙江森马服饰股份有限公司2013年度报告摘要
300x204 - 36KB - JPEG

重庆智飞生物制品股份有限公司2011年度报告
300x216 - 24KB - JPEG