11.假设地球同步卫星的轨道半径是近地卫星轨道半径的n倍.则( )A.同步卫星的运行速度是第一宇宙速度的$\sqrt{\frac{1}{n}}$倍B.同步卫星的运行周期是近地卫星的运行周期的n
近地卫星周期小于地球同步卫星 轨道半径小于同步卫星
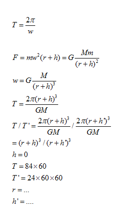
84MIN=1.4h 对于近地卫星:GMm/R2=mR(2π/T)2 =mR(2π/1.4h)2 对于同步卫星:GMm/r2=mr(2π/T)2 两式可以得r=6.65R 所以h=6.65R-R=5.65R=5.65*6371KM=36000KM 根据你的数值只能算出这个结果.
近地卫星轨道高度大约300公里左右,地球半径6400公里,可以这么近似
A、根据万有引力提供向心力GMmr2mr4π2T2, T=4π2r3GM,其中r为同步卫星的轨道半径. 近地卫星运行周期T=4π2R3GM 同步卫星运行的周期是近地卫星运行周期的
近地轨道半径多少?周期多少? 下载作业帮 扫二维码下载作业帮 拍照搜题,秒出答案,一 大多数人造卫星也在近地轨道上,它们的运行速度大约是27400km/h,环绕地球一周的时间
近地卫星的轨道半径是多少 下载作业帮 扫二维码下载作业帮 拍照搜题,秒出答案,一键查看所有搜题记录 下载作业帮安装包 扫二维码下载作业帮 拍照搜题,秒出答案,一键查看所
已知地球同步卫星的轨道半径约为地球半径的6.6倍.一飞行器绕地球做匀速圆周运动的周期为3小时。若地球半径为R,则该飞行器绕地心飞行的轨道半径最接近( ) A.0.83R B.1.7
地球质量GM,能求卫星轨道远地点的距离R与轨道周期t吗?. 轨道物理题,问知道地球卫星轨道上近地点的速度V与半径r,地球质量GM,能求卫星轨道远地点的距离R与轨道周期t吗
绕地球运动周期喂84min,而地球同步通信卫星则位于一个近地卫星(轨道半径可以认为等于地球半径R),绕地球运动周? 而地球同步通信卫星则位于一个近地卫星(轨道半径可以认
要发射一颗人造地球卫星.使它在半径为r2的预
281x255 - 11KB - PNG

人造地球卫星的运行轨道是以地心为一个焦点的
198x146 - 6KB - PNG

一个近地(轨道半径可以认为等于地球半径)卫星
268x443 - 3KB - PNG

如图所示,人造地球卫星绕地球运行轨道为椭圆
165x108 - 4KB - PNG
人造地球卫星在近地轨道绕地球做匀速圆周运动
356x259 - 24KB - PNG

人造地球卫星的轨道半径越大.运行速度和周期
119x138 - 3KB - JPEG

如图.物体A静止在地球赤道上.卫星B绕地球做椭
168x124 - 3KB - JPEG

近地卫星和地球同步卫星课件.ppt
1152x864 - 755KB - PNG

人造地球卫星在近地轨道绕地球做匀速圆周运动
127x152 - 3KB - JPEG

我国发射的第一颗人造地球卫星的运行轨道.是
142x130 - 8KB - PNG
要发射一颗人造地球卫星.使它在半径为r2的预
139x124 - 6KB - PNG

p3_9我国第一颗人造地球卫星的椭圆轨道和周
1152x864 - 212KB - PNG

人造地球卫星沿椭圆轨道绕地球运动如图示,它
190x252 - 80KB - PNG

某颗同步卫星在赤道上等待发射.随地球做匀速
153x138 - 7KB - PNG

两质量相同的卫星绕地球做匀速圆周运动.轨道
147x143 - 6KB - PNG