
对一棵二叉树的前序遍历产生A D F G H K L P
305x281 - 5KB - PNG

用一棵二叉树的前序遍历结果和中序遍历结果还
760x336 - 5KB - PNG

C语言实现二叉树前序、中序、后续遍历(非递
794x1123 - 20KB - PNG

前序遍历线索二叉树算法PPT
1080x810 - 47KB - JPEG

对下列二叉树进行前序遍历的结果为
254x216 - 15KB - JPEG

对下列二叉树进行前序遍历的结果为_。
240x227 - 6KB - JPEG

PHP实现二叉树深度优先遍历(前序、中序、后
543x508 - 22KB - PNG

为什么二叉树的前序遍历和中序遍历对应入栈和
1536x2048 - 364KB - JPEG

狂言数据结构十三:二叉树的特点和遍历(前序,中
600x264 - 95KB - JPEG
若某二叉树的前序遍历访问顺序是abdgcefh,中
319x323 - 302KB - BMP

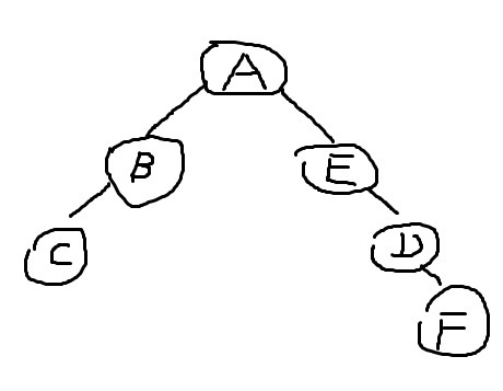
一颗二叉树前序遍历是ABCEDF,中序遍历是C
460x357 - 14KB - JPEG

leetcode:144. 二叉树的前序遍历
480x262 - 19KB - PNG

一颗二叉树的前序遍历序列为ABDGCFK,中序
600x450 - 19KB - JPEG

leetcode:144. 二叉树的前序遍历
505x282 - 13KB - PNG

二叉树 前序遍历是 abcdefgh 中序遍历 cdfehgb
512x384 - 5KB - JPEG