
年金现值系数公式
558x463 - 52KB - JPEG

后付年金现值和后付年金终值的区别,在做题的
411x224 - 16KB - JPEG

年金现值系数公式
690x533 - 109KB - JPEG

年金保险的五大功能 年金保险怎么计算公式
441x432 - 37KB - JPEG

2017中级《财务管理》高频考点: 资金时间价值
464x235 - 28KB - PNG

2012年注会《财务成本管理》强化辅导讲义(5
517x374 - 47KB - JPEG

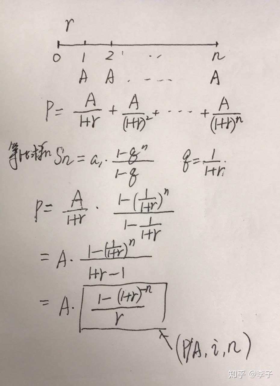
财务管理:年金现值系数推导公式?
930x1280 - 95KB - JPEG

年金现值系数公式
319x209 - 16KB - JPEG

即付年金现值的计算_普通年金现值系数表_先
550x403 - 28KB - JPEG

复利终值,复利现值,年金终值,年金现值系数表,有
1232x796 - 302KB - JPEG

年金现值系数公式
306x500 - 12KB - JPEG

预付年金现值系数是什么
800x320 - 67KB - JPEG
年金现值系数表(内带计算公式)_文档库
684x584 - 145KB - JPEG

【年金终值公式计算器】推导出普通年金终值、
650x487 - 39KB - JPEG

《建设工程经济》资料
684x333 - 8KB - PNG