304 泊松分布的问题~
1500x733 - 193KB - JPEG

数学世界杯:泊松分布预测巴西世界杯冠军|双变
367x272 - 13KB - JPEG
[转载]随机事件 概率 赌博 泊松分布
409x409 - 35KB - JPEG
通俗易懂了解泊松分布!
640x480 - 87KB - JPEG

泊松分布与指数分布_word文档在线阅读与下载
593x450 - 72KB - PNG

「数」风流人物,还靠泊松回归 | 协和八
640x503 - 27KB - JPEG

泊松分布预测足球app 泊松分布原理和实际应用
500x300 - 41KB - JPEG
计算泊松分布以预测足球比赛结果
640x366 - 18KB - JPEG
惊!运用泊松分布也可预测足球比赛结果?
558x266 - 14KB - JPEG

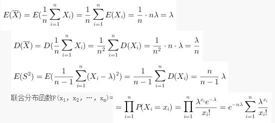
泊松分布均值和方差怎么求?_360问答
552x248 - 22KB - JPEG

概率论 泊松分布_360问答
261x448 - 24KB - JPEG

泊松分布在足球博彩中的实际应用
554x347 - 22KB - JPEG
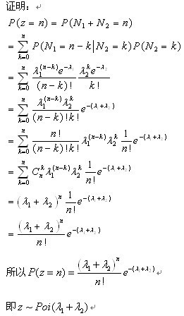
![[泊松分布的期望和方差]期望 方差公式的证明全](http://img.lookmw.cn/yuedu/170613/438065_9.jpg)
[泊松分布的期望和方差]期望 方差公式的证明全
1069x802 - 101KB - JPEG

命运冠位指定泊松分布 抽卡概率讲解
349x459 - 38KB - JPEG

泊松分布和指数分布:通俗易懂_慕课手记
560x420 - 13KB - JPEG