
极大似然函数的性质
718x415 - 52KB - JPEG

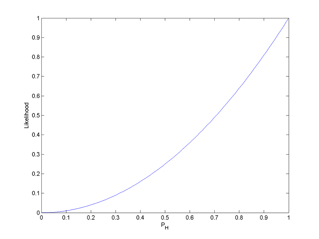
似然函数
580x392 - 37KB - JPEG

用模糊子集度确定模糊似然函数的二种方法.pd
800x1101 - 219KB - PNG

称为样本的似然函数PPT
1080x810 - 135KB - JPEG

似然函数:
1024x767 - 39KB - JPEG

用似然函数进行模式分类-Read
931x1291 - 72KB - PNG

深度学习、信息论与统计学
949x509 - 25KB - JPEG

如何求似然函数
450x338 - 20KB - JPEG

似然函数
424x246 - 1KB - PNG

似然函数
424x246 - 1KB - PNG

最大似然函数
1080x810 - 62KB - JPEG

最大似然函数
1080x810 - 59KB - JPEG

为θ的似然函数
1080x810 - 57KB - JPEG

为θ的似然函数
1080x810 - 57KB - JPEG

请教一下概率论似然函数的问题
675x900 - 799KB - PNG