
如何求这样复合函数的不定积分?比如8\/cos2x
620x244 - 18KB - PNG

微积分33 复合函数求导法则PPT
1080x810 - 89KB - JPEG

微积分3.3__复合函数求导法则PPT
1080x810 - 87KB - JPEG

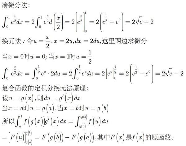
如何求复合函数定积分?
600x472 - 38KB - JPEG

复合函数求不定积分_360问答
600x450 - 23KB - JPEG

复合函数求不定积分
520x390 - 12KB - JPEG

微积分3.3__复合函数求导法则PPT
1080x810 - 28KB - JPEG

微积分3.3__复合函数求导法则.ppt-研究生考试
1152x864 - 177KB - PNG

怎样求积分复合函数求积分公式复合函数怎样求
500x375 - 24KB - JPEG
![如何复合函数积分如何求sqr([y'(x)]^2+1)的积分](http://www.51wendang.com/pic/ddb2c9fa6ed4edfc38956036/2-810-jpg_6-1080-0-0-1080.jpg)
如何复合函数积分如何求sqr([y'(x)]^2+1)的积分
1080x810 - 110KB - JPEG

怎样求复合函数的不定积分
560x336 - 8KB - JPEG

微积分教学 习题解答20复合函数求导法-135-1
1152x864 - 18KB - PNG

微积分,多元复合函数求导,请问我写的哪里不对
600x338 - 16KB - JPEG
![如何复合函数积分如何求sqr([y'(x)]^2+1)的积分](http://chinadmd.zyexhibition.com/upload/2_qxa5bobq2d837dbxv3vqjq7q.jpg)
如何复合函数积分如何求sqr([y'(x)]^2+1)的积分
1080x810 - 88KB - JPEG

微积分课件第4节 多元复合函数的求导法则
1080x810 - 61KB - JPEG