
求解对数不等式的思想方法.doc
993x1404 - 70KB - PNG
88思维点拔篇|联用e的指对数不等式,合理的切
640x400 - 46KB - JPEG

指、对数不等式的解法
569x820 - 34KB - JPEG

指数与对数函数不等式
1776x2757 - 53KB - PNG

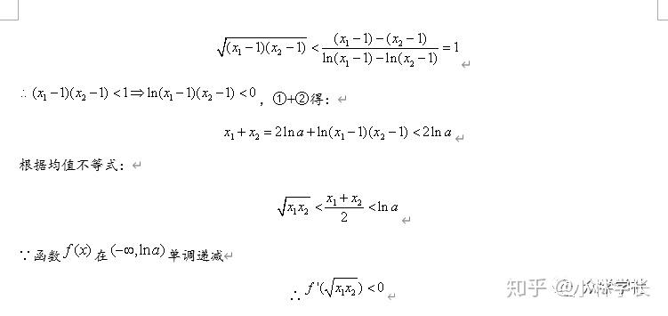
考点:对数平均不等式链高考压轴题中的研究
720x1018 - 62KB - JPEG

【转载】极值点偏移问题--对数不等式法
2480x3507 - 551KB - JPEG

利用对数平均不等式破解极值点偏移问题
800x1094 - 315KB - PNG

指数、对数方程与不等式填空题,救救我,明天要
999x659 - 154KB - JPEG
88思维点拔篇|联用e的指对数不等式,合理的切
509x438 - 54KB - JPEG
高考数学压轴题-导数-证明指对数不等式[两种解
587x366 - 20KB - JPEG

高次分式指数对数不等式的解法
1080x810 - 55KB - JPEG

2012年高考一轮精品学案:指、对数不等式解法
870x1229 - 73KB - PNG

78对数平均不等式的源与流
993x1404 - 106KB - PNG

对数均值不等式在导数大题中的妙用
751x355 - 29KB - JPEG

指数方程和不等式与对数方程和不等式
678x397 - 49KB - JPEG