
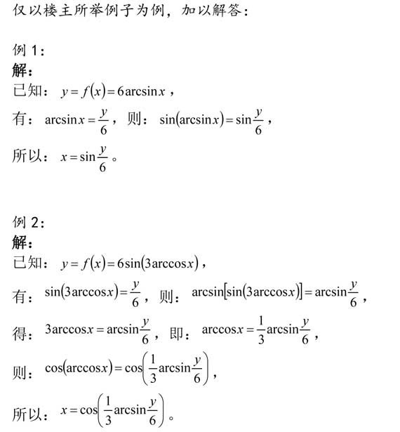
如何写出反三角函数的反函数。希望能有举例和
570x615 - 32KB - JPEG

反函数及三角方程 高考真题PPT
1080x810 - 31KB - JPEG

cot的反函数图像 cot的三角函数值°°°°°°
500x273 - 28KB - JPEG

反三角函数的反函数是什么
500x299 - 18KB - JPEG

反三角函数和三角函数的反函数,这两个值是一
620x826 - 23KB - JPEG

这个复杂的三角函数的反函数怎么求,详细步骤
620x826 - 63KB - JPEG

广东省近高考文科数学题型和分值分析.doc
993x1404 - 116KB - PNG

怎么求三角函数的反函数啊。
498x664 - 19KB - JPEG

第六章反函数、对数函数、反三角函数§6.1反
993x1404 - 60KB - PNG

反函数及三角方程 高考真题PPT
1080x810 - 10KB - JPEG

精品课件-补充三角函数与反函数
1080x810 - 14KB - JPEG

cot的反函数图像 cot的三角函数值°°°°°°
396x318 - 7KB - JPEG

高中数学学习资料-1.3 三角函数的图象与性质.
993x1404 - 225KB - PNG

三角函数反函数】反三角函数的用途?_尚书坊
650x487 - 37KB - JPEG
反函数和反三角函数(最新)
1080x810 - 103KB - JPEG