初中数学因式分解方法技巧*
388x511 - 53KB - JPEG
因式分解 | 口诀技巧 - 今日头条(TouTiao.org)
640x480 - 48KB - JPEG

浅谈因式分解的教学方法与技巧
800x1159 - 567KB - JPEG

因式分解的方法与技巧
639x809 - 153KB - JPEG

因式分解的方法与技巧
600x485 - 30KB - PNG

因式分解的方法与技巧
600x521 - 38KB - PNG

漫谈因式分解的方法与技巧
800x1139 - 199KB - JPEG
「初中数学」有趣的因式分解
640x765 - 51KB - JPEG

分组分解因式的技巧11法
629x851 - 127KB - JPEG

因式分解方法技巧 – 德智教育资讯中心
253x274 - 4KB - PNG

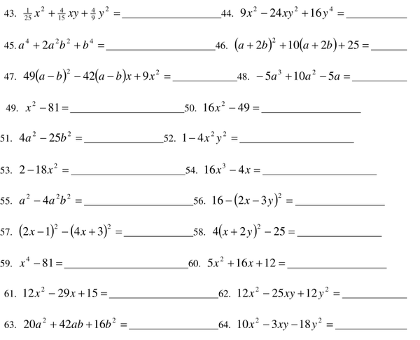
《整式的乘除与因式分解》技巧性习题训练一、
993x1404 - 69KB - PNG
八年级(整式乘法和因式分解)技巧篇--乘法公式
640x526 - 34KB - JPEG
八年级(整式乘法和因式分解)技巧篇--乘法公式
640x606 - 35KB - JPEG
什么叫因式分解?分解因式的方法有哪些?
519x276 - 22KB - JPEG

因式分解的方法与技巧
600x515 - 95KB - PNG