
高考数学常用公式:圆的弦长公式
579x506 - 41KB - JPEG

圆被直线截的弦长公式
500x227 - 18KB - JPEG

高考数学复习点拨-例析圆中弦长公式的应用
993x1404 - 94KB - PNG

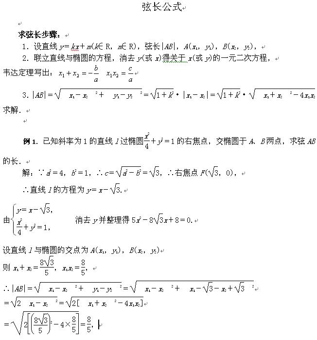
江苏高考数学知识点总结:圆的弦长公式
652x699 - 60KB - JPEG

2019高考数学公式:圆的弦长公式
710x587 - 89KB - PNG

圆的弦长公式
533x300 - 17KB - JPEG

圆的弦长公式
319x277 - 12KB - JPEG

已知拱高0.6米,弦长5.5米
500x254 - 14KB - JPEG

圆的弦长计算公式
500x346 - 13KB - JPEG
已知圆C:(x-a)2+(y-2)2=4及直线l:x-y+3=0.当直线
340x284 - 3KB - PNG

圆的弦长公式
923x647 - 98KB - JPEG

圆的弦长公式是什么 怎么推倒出来的?
600x800 - 36KB - JPEG

10.直线被圆截得的弦长公式
800x1132 - 15KB - JPEG

椭圆弦长公式PPT_word文档在线阅读与下载_
1080x810 - 44KB - JPEG

圆的弦长公式
372x363 - 15KB - JPEG