
数学样本方差怎么求?
356x470 - 14KB - JPEG

正态总体样本方差分布的详细推导PPT_word文
1080x810 - 62KB - JPEG

样本方差
270x214 - 11KB - JPEG

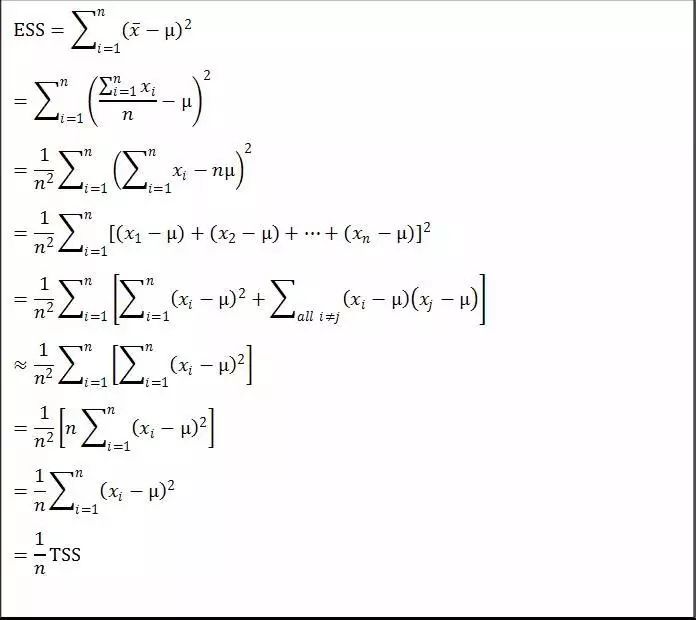
证明下样本方差是总体方差的无偏估计 第二步
816x459 - 38KB - JPEG
考试时求样本方差需要写单位吗?
768x416 - 33KB - JPEG

【数理统计】样本方差的分母为什么是n-1?独立
696x620 - 31KB - JPEG

用样本方差估计总体方差
950x1220 - 444KB - PNG

样本方差与总体方差则.doc
993x1404 - 85KB - PNG

样本方差后面那个括号里怎么推导出来的?-
600x337 - 20KB - JPEG

两样本方差的F检验
1152x864 - 119KB - PNG

§6.3正态总体样本均值与样本方差的分布.ppt
1152x864 - 521KB - PNG

第七讲 单因素独立样本方差分析ppt课件
1080x810 - 33KB - JPEG

四川省统计师考试:样本方差的抽样分布试题.p
800x1132 - 132KB - PNG

为什么样本方差(sample variance)的分母是 n-1
2048x1536 - 191KB - JPEG

§6.3 正态总体样本均值与样本方差的分.ppt
960x720 - 54KB - JPEG