
青岛版数学八下7.3《根号2是有理数吗》PPT教
1080x810 - 64KB - JPEG

根号三减根号二的倒数是多少 要详细讲解T^TT
600x800 - 40KB - JPEG

二倍根号二的平方根是多少喝_360问答
295x612 - 6KB - JPEG

无理数负的根号2的倒数是多少、、、、、、
550x329 - 17KB - JPEG

3分之2倍根号二a 的平方除以2是多少_360问答
600x800 - 16KB - JPEG

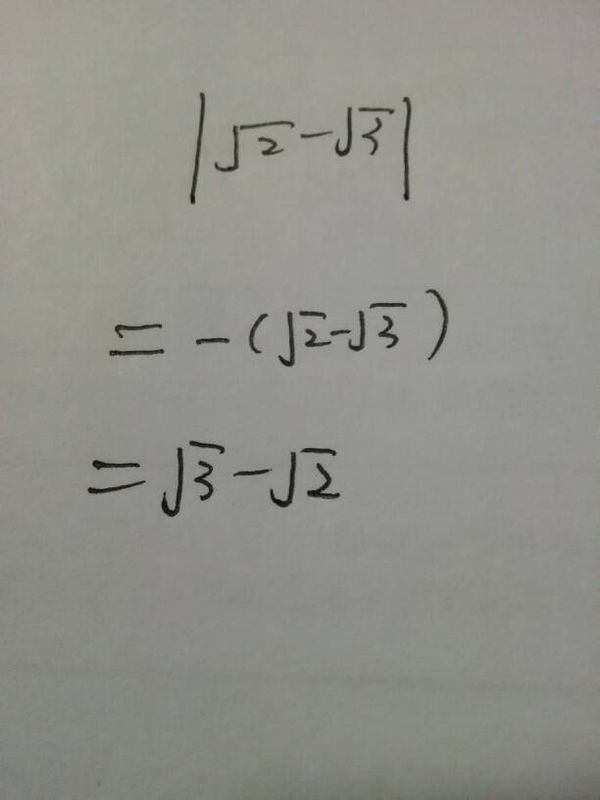
根号二减根号三的绝对值是多少_360问答
600x800 - 22KB - JPEG

已知直角三角形的周长是2+根号2,斜边的长为2
500x333 - 5KB - JPEG

点(-2,-2根号2)的极坐标是多少_360问答
396x312 - 9KB - JPEG

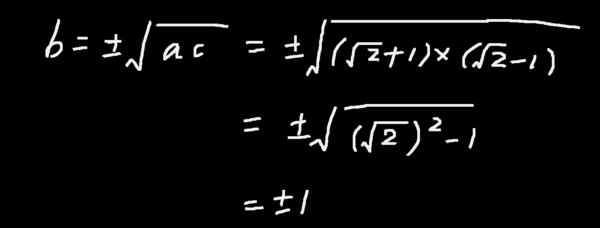
根号2+1与根号2-1,两数的等比中项是多少_36
600x228 - 23KB - PNG

设4-根号2的整数部分为a,小数部分为b则b平方
268x267 - 9KB - JPEG

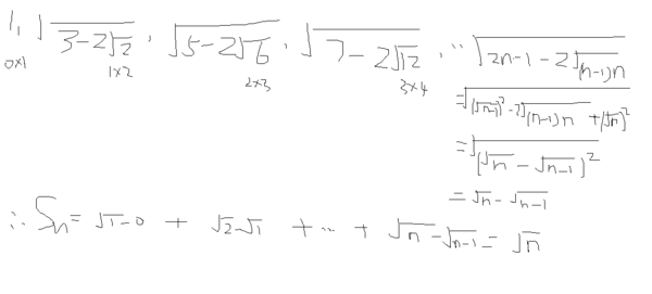
数列,1,根号下(3-2倍根号2),根号下(5-2倍根号6
600x271 - 9KB - PNG

如果根号2-1是方程x平方-mx-1=0的一个根那么
497x587 - 35KB - JPEG

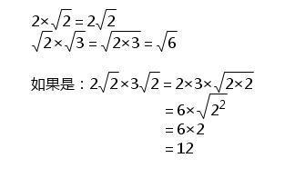
初二数学2倍的根号2是多少 要过程_360问答
324x196 - 7KB - JPEG

某三棱锥三视图都是直角边为根号2的等腰直角
600x388 - 11KB - JPEG

△ABC中,cosB=二分之根号二,sinC=五分之三,
240x320 - 6KB - JPEG