
矢量符号微分回收与箭
1024x1024 - 70KB - JPEG

物理符号设计
500x647 - 24KB - JPEG

微分符号
268x268 - 14KB - PNG

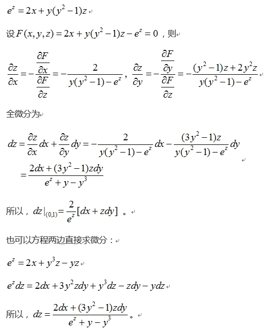
隐函数全微分计算
521x651 - 84KB - JPEG

谈谈对于微分符号 df 理解.doc
992x1403 - 93KB - PNG

MathType怎么快速编辑微分符号
500x361 - 32KB - JPEG

MathType怎么快速编辑微分符号
500x362 - 30KB - JPEG

微分符号的
462x380 - 14KB - PNG

关于一级反应速率方程式的推导
367x214 - 17KB - PNG

微分符号 dx、dy 表示什么含义?
1280x1707 - 556KB - JPEG

微分符号 dx、dy 表示什么含义?
1280x1707 - 480KB - JPEG

微分符号 dx、dy 表示什么含义?
1280x1707 - 487KB - JPEG

常微分方程符号解.ppt
1152x864 - 57KB - PNG

微分符号 dx、dy 表示什么含义?
230x408 - 8KB - JPEG

Maple中如何输入微分符号_百度知道
574x370 - 38KB - JPEG