
分数怎么化成小数小数怎么化成分数
823x1019 - 81KB - JPEG

怎样把分数化为小数?怎样把小数化为分数?(文
564x426 - 83KB - JPEG

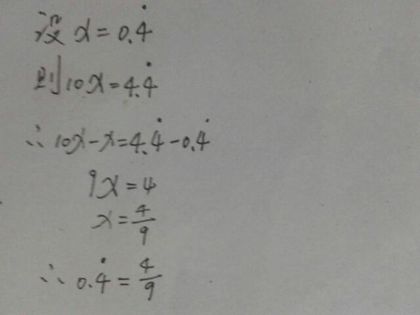
无限循环小数用方程怎样化成分数? 如0.44444
600x450 - 16KB - JPEG

我们知道,=,那么把无限循环小数化为分数是,=.
520x345 - 27KB - JPEG

怎样将小数分数化成百分数PPT
1080x810 - 87KB - JPEG

怎样将无限循环小数化为分数
600x502 - 66KB - PNG

循环小数如何化成分数-百科大全-就爱阅读网
600x740 - 80KB - JPEG
循环小数怎么化成分数?
640x480 - 28KB - JPEG
循环小数怎么化成分数?
640x358 - 19KB - JPEG

如何把循环小数化成分数?
565x349 - 60KB - PNG
无限循环小数用方程怎样化成分数? 如0.44444
460x816 - 56KB - JPEG

怎样的分数能化成有限小数.ppt
960x720 - 65KB - JPEG
怎么把小数化成分数?
609x709 - 25KB - JPEG

怎样用方程将小数0.9化成分数,从中可以得到什
1080x810 - 22KB - JPEG
小数怎么化成分数
600x450 - 146KB - PNG