
3-3分部积分法PPT_word文档在线阅读与下载
1080x810 - 64KB - JPEG

分部积分法的使用技巧
1455x2023 - 1109KB - PNG

5-3定积分的换元法和分部积分法PPT_word文
1080x810 - 132KB - JPEG

分部积分法|第卅七回|高数(微积分)
640x1318 - 110KB - JPEG

分部积分法PPT_word文档在线阅读与下载_无
1080x810 - 52KB - JPEG

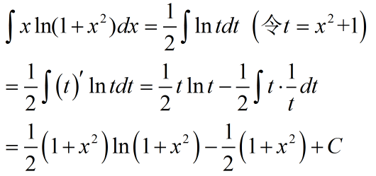
求∫xln(1+ x)dx。分部积分,谢啦!_360问答
530x249 - 22KB - PNG

第三章3.3分部积分法PPT_word文档在线阅读与
1080x810 - 69KB - JPEG

什么是分部积分法,为什么我就学不会呢?
600x626 - 307KB - PNG

分部积分法 - 全刊杂志在线阅读|免费电子杂志全
360x273 - 24KB - JPEG

最新2019-4(5)分部积分法-PPT课件
1080x810 - 48KB - JPEG

2017高数核心考点之定积分分部积分法的使用
735x495 - 156KB - PNG

不定积分分部积分法PPT
1080x810 - 62KB - JPEG

§-定积分的换元法和分部积分法
993x1404 - 89KB - PNG

5114分部积分法.ppt
1200x900 - 74KB - PNG

求解一道不定积分题,用分部积分法做
1040x780 - 74KB - JPEG