304 泊松分布的问题~
1500x733 - 193KB - JPEG

验证齐次化原理比验证泊松公式容易得多,为什
560x393 - 16KB - PNG

泊松分布公式
439x339 - 95KB - PNG

验证齐次化原理比验证泊松公式容易得多,为什
564x466 - 16KB - PNG

应用泊松公式计算下述定解问题的解utt-a2设v(
481x310 - 14KB - JPEG

应用泊松公式计算下述定解问题的解utt-a2试推
690x244 - 27KB - JPEG

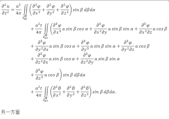
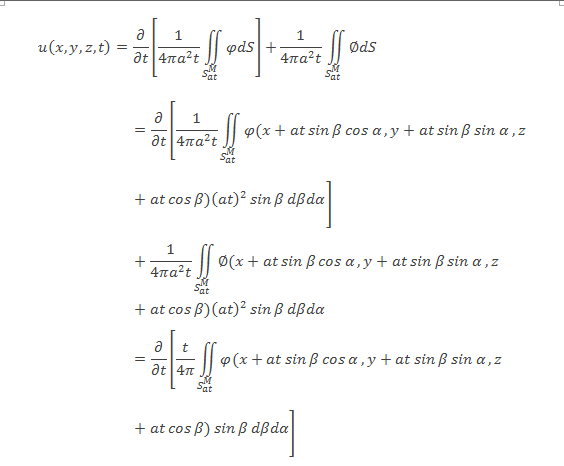
证明泊松公式
650x1095 - 75KB - JPEG

泊松公式降维法
688x1232 - 2KB - PNG

泊松公式降维法
688x1232 - 8KB - PNG
![[泊松分布公式]泊松分布公式的推导](http://img.wenjiwu.com/yuedu/170613/443610_0.jpg)
[泊松分布公式]泊松分布公式的推导
452x367 - 23KB - JPEG

证明泊松公式
495x630 - 70KB - JPEG

泊松分布每一个符号解释,。要文字通俗解释,重
600x800 - 83KB - JPEG

武汉大学数学物理方法2_3泊松公式
957x740 - 110KB - PNG

三维波动方程泊松公式推导求助
563x414 - 24KB - JPEG
泊松公式和达朗贝尔公式解同类型题目
707x780 - 5KB - PNG