关于麦克劳林展开式_爱问知识人
555x608 - 38.9KB - JPEG

反函数的麦克劳林公式
500x341 - 15KB - JPEG

幂级数和函数求法_爱问知识人
476x565 - 58.6KB - JPEG

1\/(1+x)的n+1阶麦克劳林展开式
600x338 - 31KB - JPEG
![当x→0时,x-[(4\/3)-(1\/3)cosx]sinx的麦克劳林展开_爱问知识人](http://dl.zhishi.sina.com.cn/upload/52/38/64/1078523864.17178197.jpg)
当x→0时,x-[(4\/3)-(1\/3)cosx]sinx的麦克劳林展开_爱问知识人
555x641 - 69.6KB - JPEG

高数题(麦克劳林公式)_爱问知识人
400x654 - 49KB - JPEG
.jpg)
2015考研数学:将函数展开为幂级数的方法
490x300 - 19KB - JPEG

麦克劳林展开式为什么可以直接带入? - 数学 - 知乎
2448x3264 - 605KB - JPEG

求函数f(x)=tanx到含x^5的项的带佩亚诺余项的麦克劳林展开式。_360问答
558x681 - 10KB - PNG

f(x)=sin(x+a)展开成x的幂级数。为什么不能直接把x+a代入sin(x)的麦克劳林展开式
375x500 - 181KB - JPEG

微积分13--泰勒公式_「电脑玩物」中文网我们只是「电脑玩物」 -
959x480 - 205KB - PNG

高等数学,微积分
600x380 - 42KB - JPEG

含x^5的项的带佩亚诺余项的麦克劳林展开式。
562x259 - 4KB - PNG

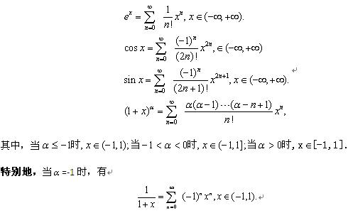
麦克劳林展开式
1200x675 - 235KB - JPEG
数学史话之俄国的荣光切比雪夫
350x350 - 21KB - JPEG