
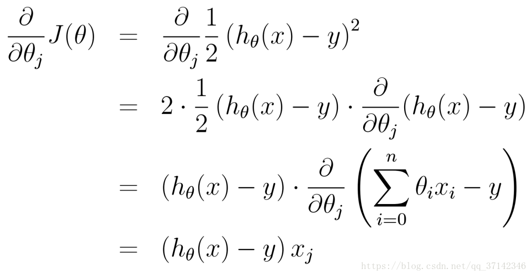
python实现梯度下降算法
439x303 - 108KB - PNG

从梯度下降到拟牛顿法:详解训练神经网络的五大学习算法-搜狐科技
636x315 - 22KB - JPEG

梯度下降法及其Python实现
468x467 - 85KB - PNG
61.说说梯度下降法
303x222 - 6KB - JPEG

梯度下降算法-学路网-学习路上 有我相伴
640x342 - 20KB - JPEG

入门 | 一文简述深度学习优化方法--梯度下降
1030x771 - 86KB - JPEG

最优化问题中,牛顿法为什么比梯度下降法求解
220x253 - 30KB - PNG

机器学习梯度下降法,最通俗易懂的解释
640x359 - 11KB - JPEG

梯度下降法
1248x1040 - 891KB - PNG

Spark MLlib随机梯度下降法概述与实例
1065x552 - 102KB - PNG

线性回归及梯度下降-机器学习1
812x346 - 65KB - PNG

梯度下降法ppt下载
854x707 - 52KB - JPEG

梯度下降法
629x675 - 0KB - PNG

Python语言描述随机梯度下降法
491x250 - 19KB - JPEG
白话梯度下降法
426x297 - 14KB - JPEG