
归一化特征向量是什么意思-层次分析法采用特
590x408 - 22KB - JPEG

特征向量
250x241 - 12KB - JPEG

第5.1节 矩阵的特征值与特征向量(吕)PPT_wor
1080x810 - 73KB - JPEG

线性代数第四章特征值与特征向量第2节PPT_
1080x810 - 66KB - JPEG

数学线代基础复习:矩阵的特征值与特征向量框
511x298 - 62KB - JPEG

2015考研数学二解析:特征值与特征向量
550x440 - 23KB - JPEG

2015考研数学知识框架图:矩阵特征值和特征向量
611x331 - 38KB - JPEG

【线性代数】矩阵的特征值与特征向量
826x500 - 52KB - JPEG

特征向量
300x207 - 8KB - JPEG

矩阵对角化的含义是什么?_360问答
620x386 - 35KB - PNG

随着算盘办公室的特征向量的孩子矢量图免费下
1024x537 - 60KB - JPEG

2014考研数学线性代数讲义:特征向量与特征值
646x391 - 48KB - JPEG

5-2 矩阵的特征值、特征向量PPT
1080x810 - 61KB - JPEG

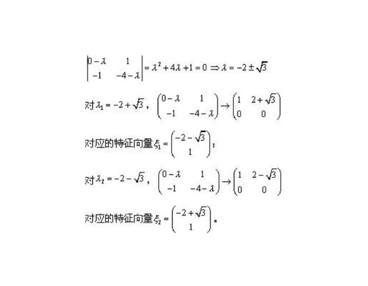
A平方对应的特征向量为a,能推出A的特征向量
721x561 - 21KB - JPEG

请教,两个特征值都只对应一个特征向量,这个P
612x816 - 49KB - JPEG