请教数列收敛的证明
662x400 - 17KB - JPEG

数列和收敛数列
1152x864 - 33KB - PNG

数列收敛性的判别准则
1152x864 - 82KB - PNG

数列收敛别法_毕业论文
993x1404 - 55KB - PNG

数列收敛和发散的两个问题,简要说明理由-
450x281 - 28KB - PNG

证明收敛数列性质时,证明极限唯一时,由绝对值
375x500 - 179KB - JPEG

第一题的1357小题。那些数列收敛,那些数列发
374x500 - 220KB - JPEG

一类数列收敛的充分条件
1449x2078 - 437KB - PNG

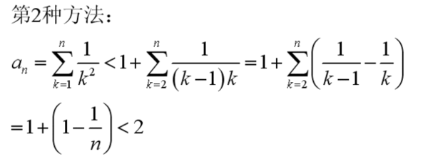
证明数列收敛两种方法是什么?
600x223 - 13KB - PNG

22.2收敛数列的性质
794x1123 - 38KB - PNG

数列和级数收敛_武汉文都考研_新浪博客
478x227 - 27KB - JPEG

证明数列收敛的方法
500x667 - 33KB - JPEG

收敛数列的性质(经典课件).doc
993x1404 - 92KB - PNG
确定递推式数列收敛的几种方法
1417x2032 - 274KB - PNG
确定递推式数列收敛的几种方法
1410x2022 - 780KB - PNG